Open Access

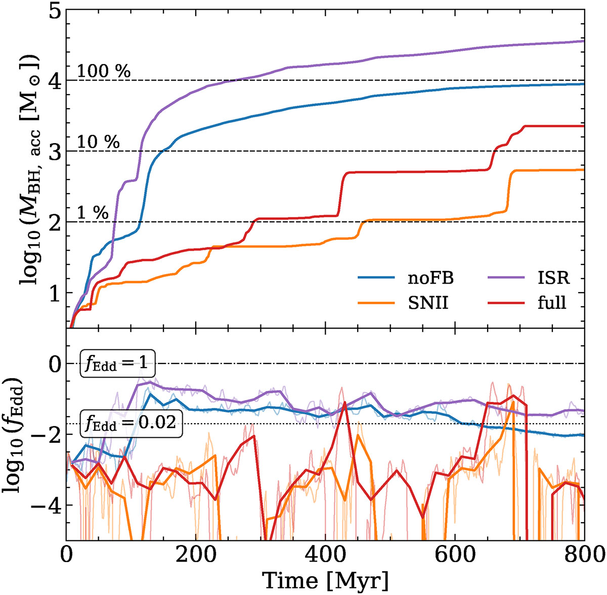
Fig. 3.

image

Download original image

Top: Amount of mass accreted over time by the MBH in our Stellar Feedback simulations (see Table 2). Dashed lines indicate the percentage growth of an initial 104 M MBH. Bottom: Corresponding time evolution of the MBH gas accretion rate (in terms of the Eddington fraction fEdd = BH/Edd). Transparent background lines correspond to the obtained gas accretion rate of individual snapshots, while opaque lines mark the running mean value over 20 Myr.

Current usage metrics show cumulative count of Article Views (full-text article views including HTML views, PDF and ePub downloads, according to the available data) and Abstracts Views on Vision4Press platform.

Data correspond to usage on the plateform after 2015. The current usage metrics is available 48-96 hours after online publication and is updated daily on week days.

Initial download of the metrics may take a while.