Open Access

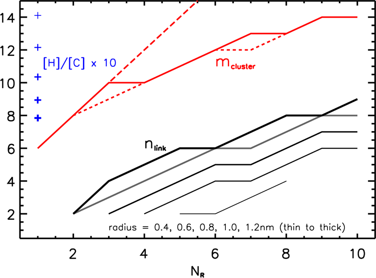
Fig. 1

image

Download original image

Aromatic clusters coordination numbers, mcluster (red lines, upper and lower limits shown dashed), and number of network linking bonds, nlink, in a-C(:H) nanoparticles as a function of NR and radius (0.4, 0.6, 0.8, 1.0, 1.2 nm, thin to thick black and grey lines, respectively). For each particle radius (same line thickness) the blue cross ordinate indicates the size-dependent hydrogen to carbon atomic ratios, [H]/[C], multiplied by 10.

Current usage metrics show cumulative count of Article Views (full-text article views including HTML views, PDF and ePub downloads, according to the available data) and Abstracts Views on Vision4Press platform.

Data correspond to usage on the plateform after 2015. The current usage metrics is available 48-96 hours after online publication and is updated daily on week days.

Initial download of the metrics may take a while.