Open Access

Fig. 4

image

Download original image

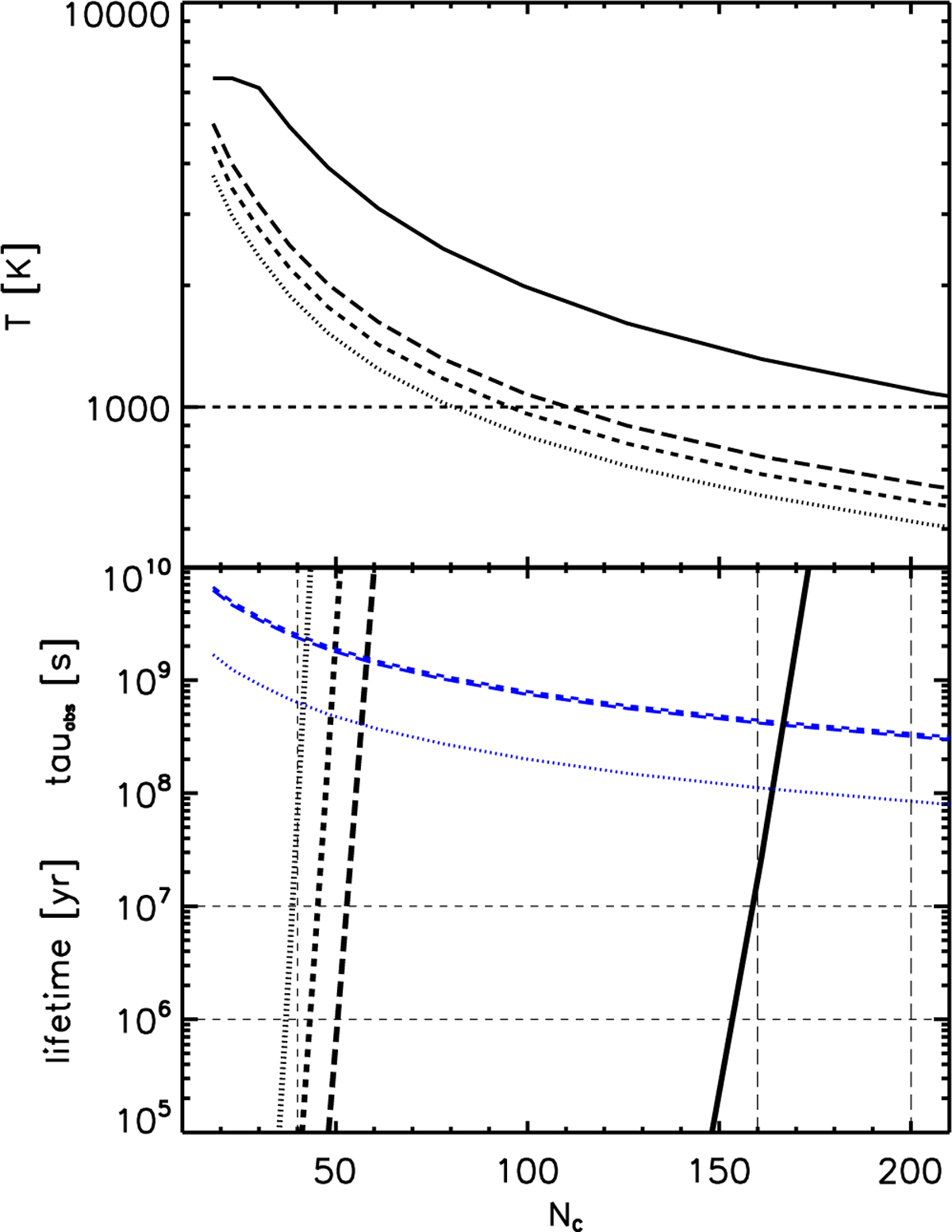
THEMIS a-C(:H) nanoparticle initial temperatures (upper plot), and in the lower plot photon absorption timescales (blue), and lifetimes (black) for the ISRF conditions (G0, FUV E, and AV) given in Table 4. The thin vertical dashed lines indicate the THEMIS minimum grain size in the diffuse ISM (a ~ 0.4-0.5 nm), and the derived limit for harsh PDR environments (a- ≲ 0.7-0.8 nm, IC63 and Orion Bar, Schirmer et al. 2022) and (a- ~ 0.4 nm, Orion Bar, Elyajouri et al. 2024). The horizontal dashed lines mark the million year lifetime (lower plot) and T = 103 K (upper plot).

Current usage metrics show cumulative count of Article Views (full-text article views including HTML views, PDF and ePub downloads, according to the available data) and Abstracts Views on Vision4Press platform.

Data correspond to usage on the plateform after 2015. The current usage metrics is available 48-96 hours after online publication and is updated daily on week days.

Initial download of the metrics may take a while.