Open Access

Fig. 4.

image

Download original image

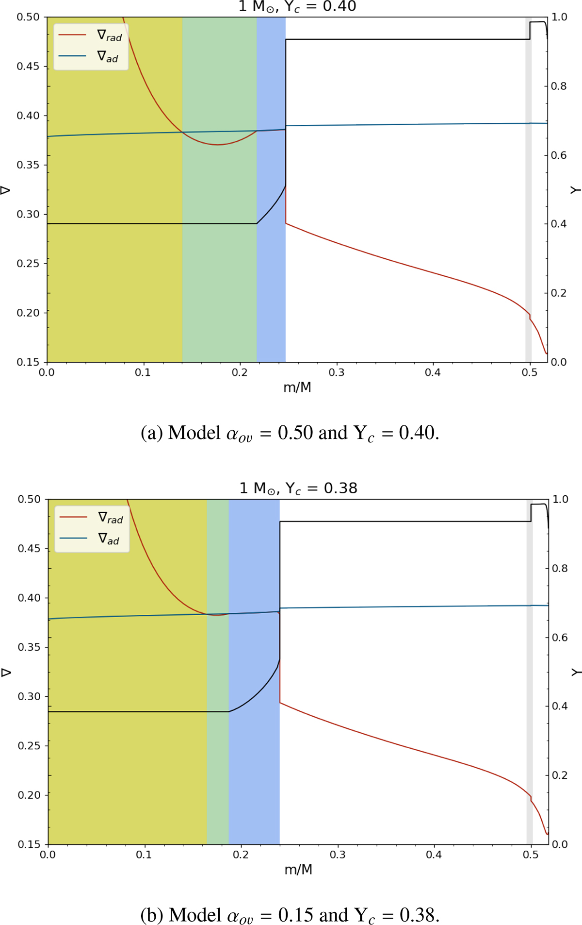
Comparison of overshooting parameters αov = 0.50 (top panel) and αov = 0.15 (bottom panel) for 1 M through the gradient and helium profiles as a function of the mass fraction at the same age, compared to the helium profile (black). The convective zone is in yellow; the overshooting layer is in green; the semi-convective zone is in blue; and the sharp variation left by the He-flash is in grey. The radiative gradient ∇rad is in red, and the adiabatic gradient ∇ad is in blue. The real gradient ∇ is defined as follows: ∇ = ∇ad in the COS zone, and ∇ = ∇rad in the radiative zone.

Current usage metrics show cumulative count of Article Views (full-text article views including HTML views, PDF and ePub downloads, according to the available data) and Abstracts Views on Vision4Press platform.

Data correspond to usage on the plateform after 2015. The current usage metrics is available 48-96 hours after online publication and is updated daily on week days.

Initial download of the metrics may take a while.