Open Access

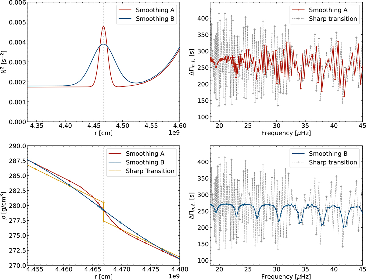
Fig. 9.

image

Download original image

Left panels: Density and Brunt-Väisälä frequency profiles of two smoothed 1 M models, A (Gaussian parameters: amplitude = 9e−10 s−2, width = 7e6 cm) and B (Gaussian parameters: amplitude = 6e−10 s−2, width = 2e7 cm) around the He-flash discontinuity, compared to the model with a sharp transition. Right panels: Period-spacing structure of mode frequencies for the smoothed models A and B (red dots), compared to the sharp transition model (grey dots).

Current usage metrics show cumulative count of Article Views (full-text article views including HTML views, PDF and ePub downloads, according to the available data) and Abstracts Views on Vision4Press platform.

Data correspond to usage on the plateform after 2015. The current usage metrics is available 48-96 hours after online publication and is updated daily on week days.

Initial download of the metrics may take a while.