Open Access

Fig. 14

image

Download original image

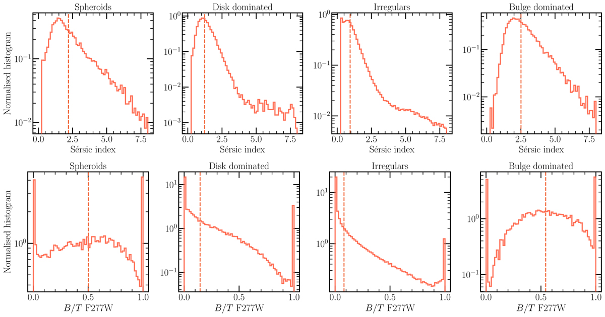
Distributions of the Sérsic index (top row) and B/T in F277W (bottom row) measured from SE++ for spheroid, disk-dominated, irregular, and bulge-dominated galaxy types classified with machine learning. The dashed vertical line marks the median. These include sources with S/N > 5 classified as galaxies.

Current usage metrics show cumulative count of Article Views (full-text article views including HTML views, PDF and ePub downloads, according to the available data) and Abstracts Views on Vision4Press platform.

Data correspond to usage on the plateform after 2015. The current usage metrics is available 48-96 hours after online publication and is updated daily on week days.

Initial download of the metrics may take a while.