Open Access

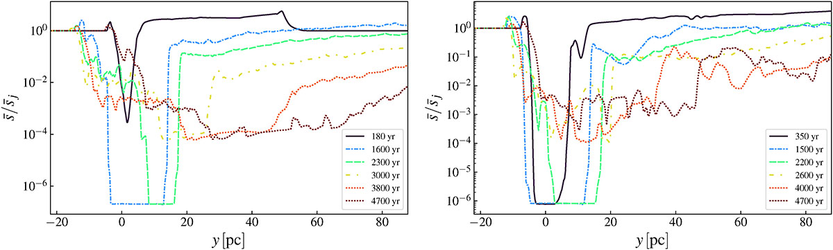
Fig. 11.

image

Download original image

Specific entropy (normalised to the jet entropy) averaged over domain, [ − 2.5, 2.5] RSN × [ − 2.5, 2.5] RSN of the XZ plane around the jet axis for the 3D simulations; six time steps from S1 (left panel) and S2 (right panel) are shown to accurately follow the dynamical evolution of the ejecta.

Current usage metrics show cumulative count of Article Views (full-text article views including HTML views, PDF and ePub downloads, according to the available data) and Abstracts Views on Vision4Press platform.

Data correspond to usage on the plateform after 2015. The current usage metrics is available 48-96 hours after online publication and is updated daily on week days.

Initial download of the metrics may take a while.