Open Access

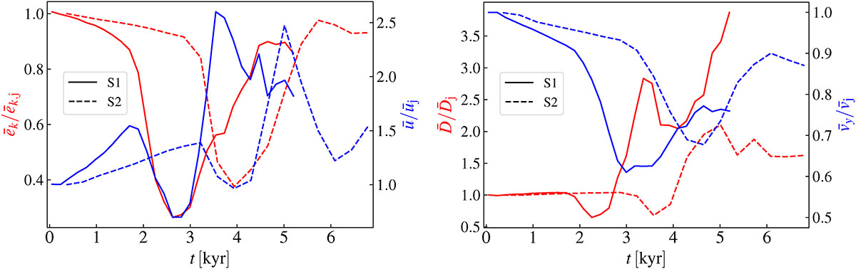
Fig. 12.

image

Download original image

Time evolution in 3D case of rest-mass density in the lab-frame, D; kinetic ek and internal, u, energy density (normalised to the jet values); and velocity, vy, in vj-units, averaged over the XZ plane at the outflow boundary of the Y-axis for S1 (solid lines) and for S2 (dashed lines).

Current usage metrics show cumulative count of Article Views (full-text article views including HTML views, PDF and ePub downloads, according to the available data) and Abstracts Views on Vision4Press platform.

Data correspond to usage on the plateform after 2015. The current usage metrics is available 48-96 hours after online publication and is updated daily on week days.

Initial download of the metrics may take a while.