Open Access

Fig. 4

image

Download original image

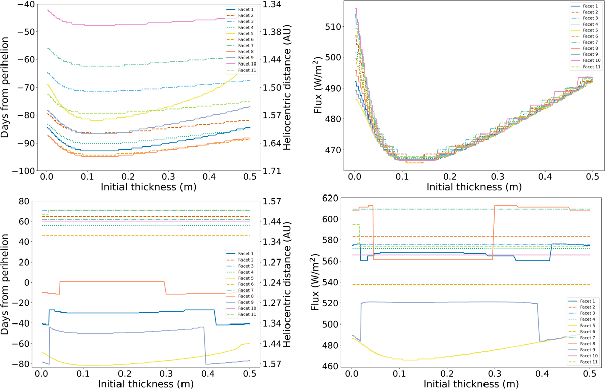
Variations in dust removal activity with respect to initial dust layer thickness. Top row: time and heliocentric distance (left column) and energy flux (right column) of the first removal event. Bottom row: corresponding values for the last removal event. The x-axis in each panel represents the initial dust layer thickness.

Current usage metrics show cumulative count of Article Views (full-text article views including HTML views, PDF and ePub downloads, according to the available data) and Abstracts Views on Vision4Press platform.

Data correspond to usage on the plateform after 2015. The current usage metrics is available 48-96 hours after online publication and is updated daily on week days.

Initial download of the metrics may take a while.