Open Access

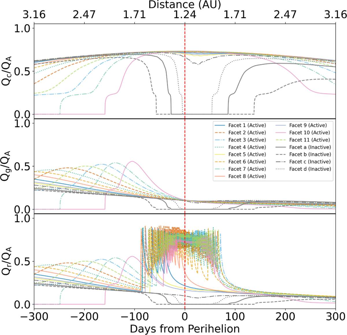
Fig. 8

image

Download original image

Ratio of gas production rates of different models and Model A for representative facets (among them, facets 1-11, which are active, have removal activity in the global simulation, while facets a-d, which are inactive, in a gray color have no removal activity in the global simulation). From top to bottom, they represent the constant dust layer model (with a fixed thickness of 0.002 m), the growing dust layer model, and the dust layer removal model, which were all initialized with a dust layer thickness of 0.002 m.

Current usage metrics show cumulative count of Article Views (full-text article views including HTML views, PDF and ePub downloads, according to the available data) and Abstracts Views on Vision4Press platform.

Data correspond to usage on the plateform after 2015. The current usage metrics is available 48-96 hours after online publication and is updated daily on week days.

Initial download of the metrics may take a while.