Open Access

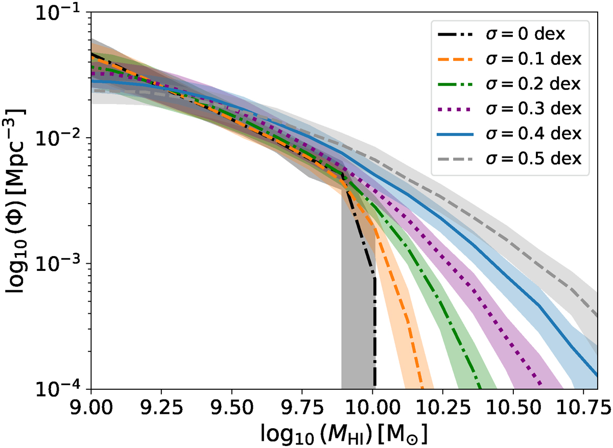
Fig. B.1.

image

Download original image

HIMF results from the combined stacking case as a function of the assumed scatter in the MHI − M and for the polynomial model. We show the results for σ = 0 (dotted-dashed black) σ = 0.1 (dashed orange), σ = 0.2 (dotted-dashed green), σ = 0.3 (dotted purple), σ = 0.4 (solid blue), and σ = 0.5 (dashed gray). Bottom: HIMF from the combined stacking assuming a polynomial and an asymmetric scattering (orange diamonds), compared to the fiducial HIMF from this work (blue squares) and the ALFALFA HIMF at z ∼ 0 (dashed green).

Current usage metrics show cumulative count of Article Views (full-text article views including HTML views, PDF and ePub downloads, according to the available data) and Abstracts Views on Vision4Press platform.

Data correspond to usage on the plateform after 2015. The current usage metrics is available 48-96 hours after online publication and is updated daily on week days.

Initial download of the metrics may take a while.