Open Access

Fig. 2

image

Download original image

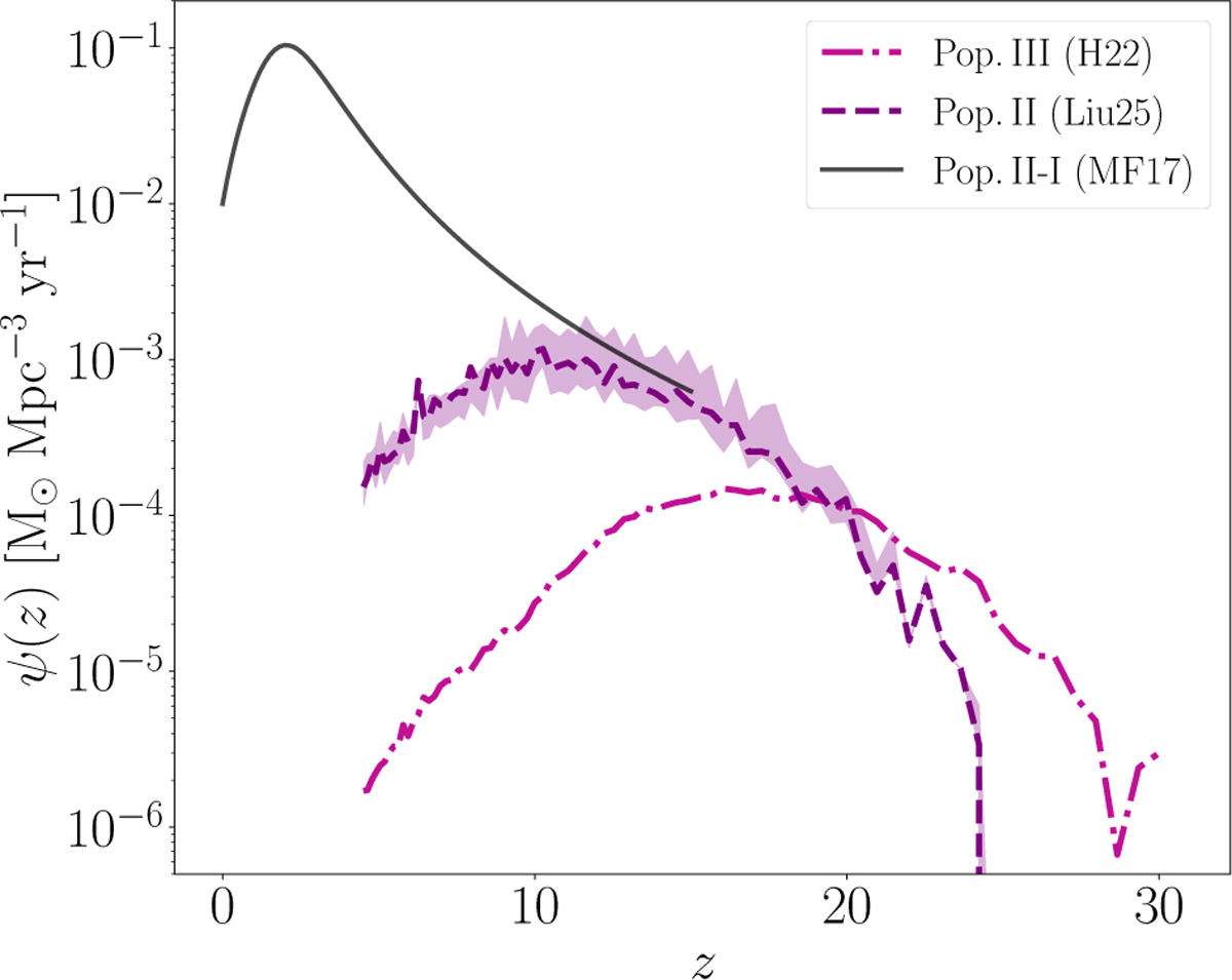
Star formation rate density of Pop. III (dash-dotted magenta line, Hartwig et al. 2022) and Pop. II (dashed purple line, Liu et al. 2025) stars. The shaded purple region denotes the uncertainty range associated with Pop. II star formation history. As a comparison, the solid black line shows the star formation rate density of Pop. II-I stars by Madau & Fragos (2017).

Current usage metrics show cumulative count of Article Views (full-text article views including HTML views, PDF and ePub downloads, according to the available data) and Abstracts Views on Vision4Press platform.

Data correspond to usage on the plateform after 2015. The current usage metrics is available 48-96 hours after online publication and is updated daily on week days.

Initial download of the metrics may take a while.