Open Access

Fig. 3

image

Download original image

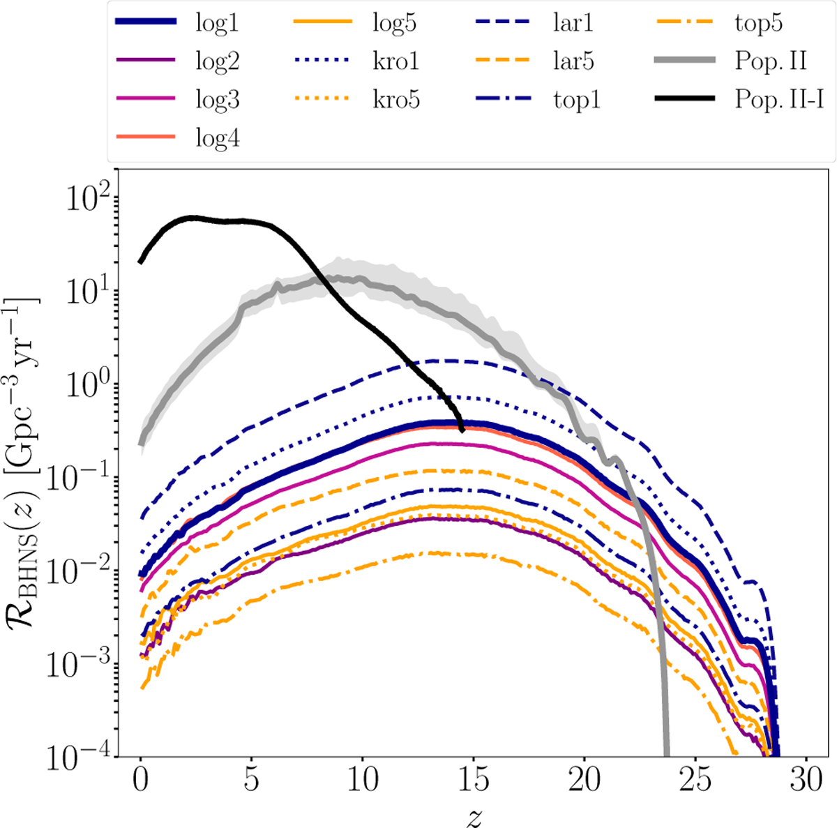
Merger rate density of BHNSs as a function of the redshift, z. The colored lines show the distributions for all the simulated Pop. III models. The thick solid blue line represents our fiducial model for Pop. III stars (log1). The thick solid gray line is the fiducial model for Pop. II stars (kro1); the shaded gray area encompasses the uncertainties on galactic outflows and IMF parameters (see Sect. 2.7). Finally, the thick solid black line represents the MRD of Pop. II-I BHNSs estimated by Iorio et al. (2023).

Current usage metrics show cumulative count of Article Views (full-text article views including HTML views, PDF and ePub downloads, according to the available data) and Abstracts Views on Vision4Press platform.

Data correspond to usage on the plateform after 2015. The current usage metrics is available 48-96 hours after online publication and is updated daily on week days.

Initial download of the metrics may take a while.