Open Access

Fig. 3

image

Download original image

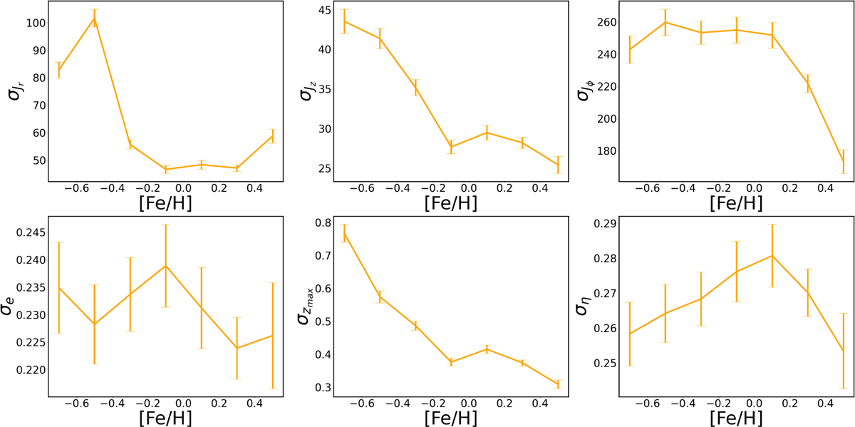
Dependences of action dispersions (defined as standard deviations) and orbital dispersions on metallicity are examined. The action dispersions of metal-poor stars are larger than those of metal-rich stars, suggesting that metal-poor stars may have multiple dynamical origins. The error bar indicates the standard error, which is given by σ/N1$\sigma /\sqrt {N - 1} $.

Current usage metrics show cumulative count of Article Views (full-text article views including HTML views, PDF and ePub downloads, according to the available data) and Abstracts Views on Vision4Press platform.

Data correspond to usage on the plateform after 2015. The current usage metrics is available 48-96 hours after online publication and is updated daily on week days.

Initial download of the metrics may take a while.