Open Access

Fig. 6.

image

Download original image

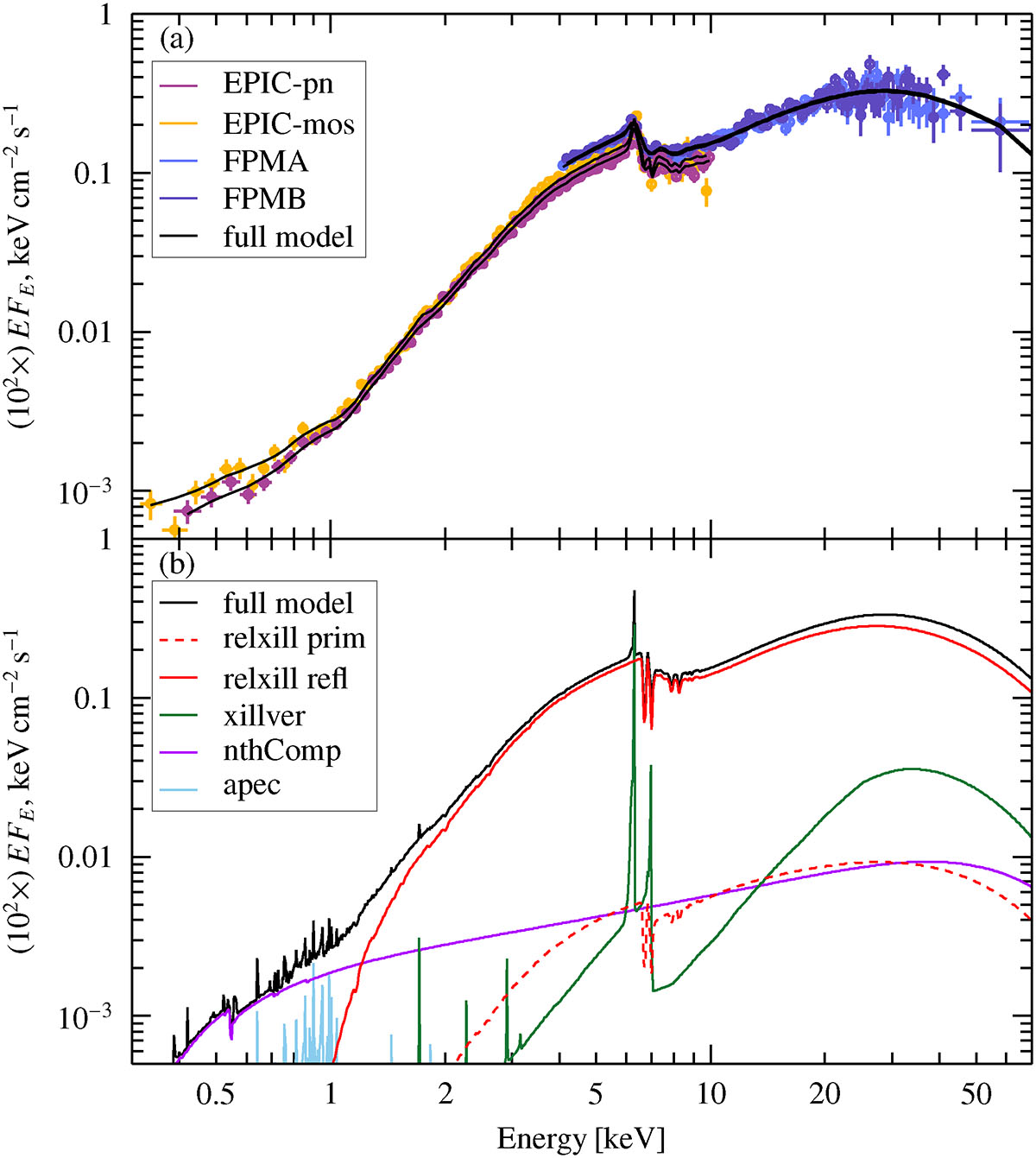
(a) Time-averaged XMM-Newton and NuSTAR spectrum of ESO 033-G002 extracted and binned according to Sect. 4.1 and the full Model 2a in black. (b) Components of the best-fit of Model 2a for ESO 033-G002. The parameters of the fit are listed in Table 2 and the residuals are shown in Fig. 7c.

Current usage metrics show cumulative count of Article Views (full-text article views including HTML views, PDF and ePub downloads, according to the available data) and Abstracts Views on Vision4Press platform.

Data correspond to usage on the plateform after 2015. The current usage metrics is available 48-96 hours after online publication and is updated daily on week days.

Initial download of the metrics may take a while.