Open Access

Fig. 10

image

Download original image

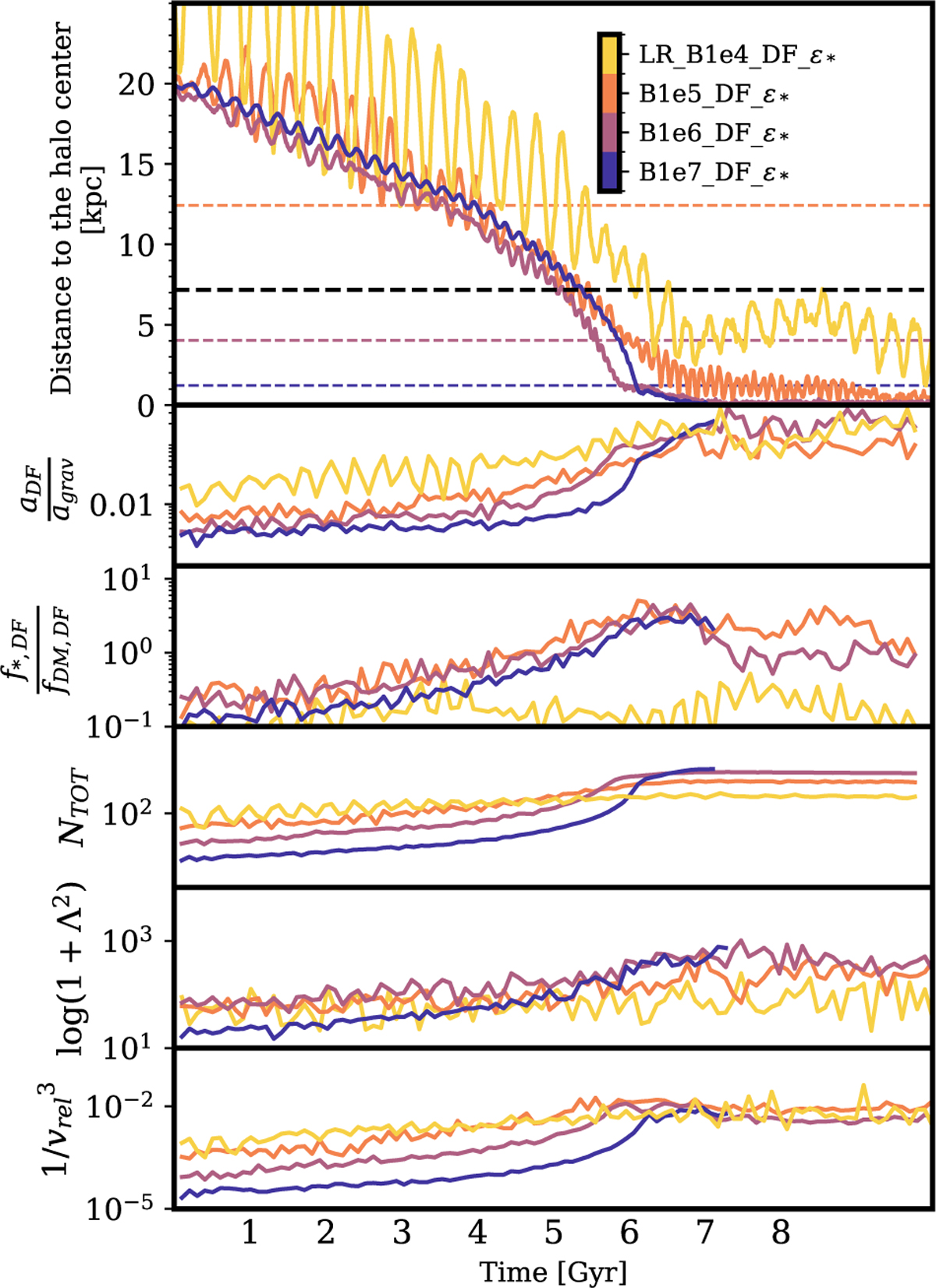
Breakdown of the different contributions to the DF correction term in Eq. (12) for simulations LR_B1e4_DF_ϵ, B1e5_DF_ϵ, B1e6_DF_ϵ, and B1e7_DF_ϵ. From top to bottom: BH distance to the halo centre, ratio of DF acceleration to gravitational acceleration, ratio of stellar to DM contributions to DF, total number of particles within ϵBH, Coulomb logarithm term, and inverse velocity term of Eq. (34).

Current usage metrics show cumulative count of Article Views (full-text article views including HTML views, PDF and ePub downloads, according to the available data) and Abstracts Views on Vision4Press platform.

Data correspond to usage on the plateform after 2015. The current usage metrics is available 48-96 hours after online publication and is updated daily on week days.

Initial download of the metrics may take a while.