Open Access

Fig. 4

image

Download original image

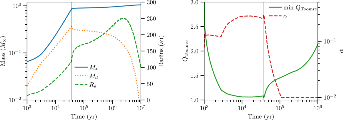
Evolution of a system that becomes self-gravitating but that does not fragment. Left panel: stellar mass, disc mass and disc size as a function of time. Right panel: minimum QToomre and α as a function of time. The black vertical line shows the end of infall. It should be noted that there two distinct y-axes in both panels to which the different quantities belong to.

Current usage metrics show cumulative count of Article Views (full-text article views including HTML views, PDF and ePub downloads, according to the available data) and Abstracts Views on Vision4Press platform.

Data correspond to usage on the plateform after 2015. The current usage metrics is available 48-96 hours after online publication and is updated daily on week days.

Initial download of the metrics may take a while.