Open Access

Fig. 4

image

Download original image

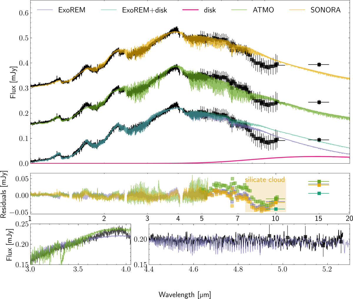
Model fit to TWA 27b. Top: data and model fit using the ATMO, ExoREM, and SONORA grids, including extinction and an offset of 0.15 mJy for visibility. In order to explain the 15 μm IR excess due to a cold disk, a blackbody component (350 K) is shown in magenta and added to the ExoREM flux. Middle: residuals between data and model in physical units (milli-Jansky). The discrepancy between the data and the models at 7.5-10 μm is most likely attributed to a silicate cloud. Bottom: details of model fit for two regions of the spectrum, including the methane and CO bands, only showing ExoREM.

Current usage metrics show cumulative count of Article Views (full-text article views including HTML views, PDF and ePub downloads, according to the available data) and Abstracts Views on Vision4Press platform.

Data correspond to usage on the plateform after 2015. The current usage metrics is available 48-96 hours after online publication and is updated daily on week days.

Initial download of the metrics may take a while.