Open Access

Fig. 7

image

Download original image

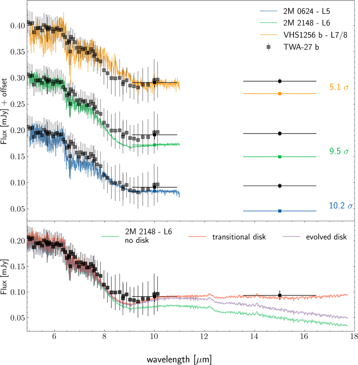
Top: comparison of TWA 27b with other low-gravity gas giant and brown dwarfs scaled to the distance of TWA 27. The 15 μm flux is consistently higher than what would be explained by just the photosphere by at least 3 σ. Bottom: comparison of TWA 27b with the most similar spectral type L6 brown dwarf 2M 2148, with the addition of the predicted CPD emission of a 1300 K object from Sun et al. (2024). The overall spectrum of 2M 2148 plus the transitional disk model emission fits the observed data the best.

Current usage metrics show cumulative count of Article Views (full-text article views including HTML views, PDF and ePub downloads, according to the available data) and Abstracts Views on Vision4Press platform.

Data correspond to usage on the plateform after 2015. The current usage metrics is available 48-96 hours after online publication and is updated daily on week days.

Initial download of the metrics may take a while.