Open Access

Fig. 5

image

Download original image

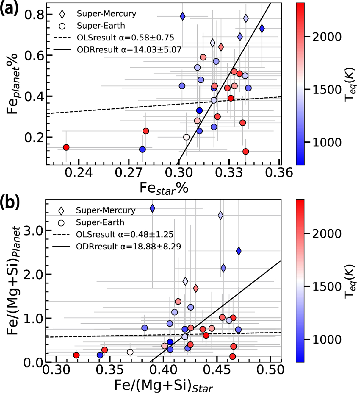
Direct comparison of the iron-mass fractions (a) and the bulk molar ratios Fe/(Mg+Si) (b) of the 32 rocky exoplanets and their host stars. The compositions of the rocky exoplanets were inferred through the MCMC method combined with the two-layer interior model, whereas the compositions of the corresponding host stars were derived from the stellar elemental abundance ratios.

Current usage metrics show cumulative count of Article Views (full-text article views including HTML views, PDF and ePub downloads, according to the available data) and Abstracts Views on Vision4Press platform.

Data correspond to usage on the plateform after 2015. The current usage metrics is available 48-96 hours after online publication and is updated daily on week days.

Initial download of the metrics may take a while.