Open Access

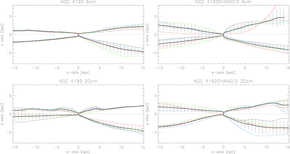
Fig. 2.

image

Download original image

Radial profiles of the halo scale height of NGC 4192. Upper panel: All ten models. Lower panel: Four best models. The models with a low χ2 are plotted in red, and the models with a high χ2 are shown in blue.

Current usage metrics show cumulative count of Article Views (full-text article views including HTML views, PDF and ePub downloads, according to the available data) and Abstracts Views on Vision4Press platform.

Data correspond to usage on the plateform after 2015. The current usage metrics is available 48-96 hours after online publication and is updated daily on week days.

Initial download of the metrics may take a while.