Open Access

Fig. 1

image

Download original image

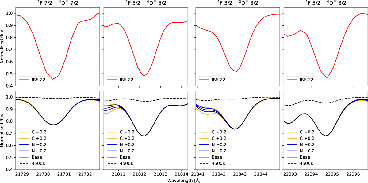
Four fine structure energy level transitions in neutral scandium 3d24s–3d4s4p. The observed spectra of GCIRS 22 are in the top panel. Bottom panel: Model spectra showing the sensitivity of the scandium lines to variations in carbon and nitrogen abundances. This shows that the scandium lines are not affected by blending of CN molecular line features. The sensitivity analysis was based on a model using an effective temperature of 3600 K and solar abundances. We have included a model using an effective temperature of 4500 K to illustrate the temperature sensitivity of the scandium lines, as the lines almost vanish at this temperature due to ionisation.

Current usage metrics show cumulative count of Article Views (full-text article views including HTML views, PDF and ePub downloads, according to the available data) and Abstracts Views on Vision4Press platform.

Data correspond to usage on the plateform after 2015. The current usage metrics is available 48-96 hours after online publication and is updated daily on week days.

Initial download of the metrics may take a while.