Open Access

Fig. 8.

image

Download original image

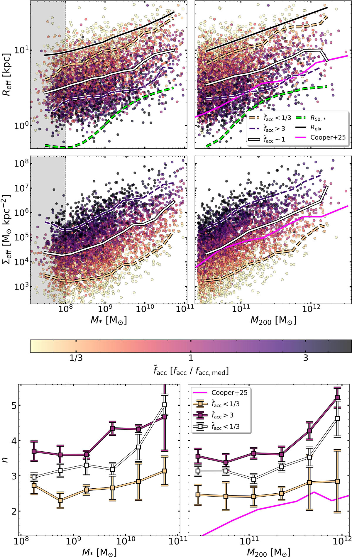
Effective radius, Reff (top panels), and surface density, Σeff (centre panels), of the accreted component of all galaxies in our sample, coloured according to accreted-mass fraction and scaled to the median value at each mass (i.e. f acc = f acc / f acc , med $ \tilde{f}_\mathrm{{acc}}=f_\mathrm{{acc}}/f_\mathrm{{acc, med}} $) as a function of stellar mass (left panels) and virial mass (right panels). Dashed coloured lines show the median for galaxies with f acc < 1 / 3 $ \tilde{f}_\mathrm{{acc}} < 1/3 $ (beige) or f acc > 3 $ \tilde{f}_\mathrm{{acc}} > 3 $ (purple). For comparison, in the top panels we show the median projected stellar half-mass radius of the total stellar component (dashed green line) and the adopted galaxy radius Rglx (in projection, solid black line). Sérsic indices, n, derived from fits to the accreted component surface-density profiles of stacked galaxies are shown in the bottom panels. With solid magenta lines, we show the median trends reported by Cooper et al. (2025).

Current usage metrics show cumulative count of Article Views (full-text article views including HTML views, PDF and ePub downloads, according to the available data) and Abstracts Views on Vision4Press platform.

Data correspond to usage on the plateform after 2015. The current usage metrics is available 48-96 hours after online publication and is updated daily on week days.

Initial download of the metrics may take a while.