Open Access

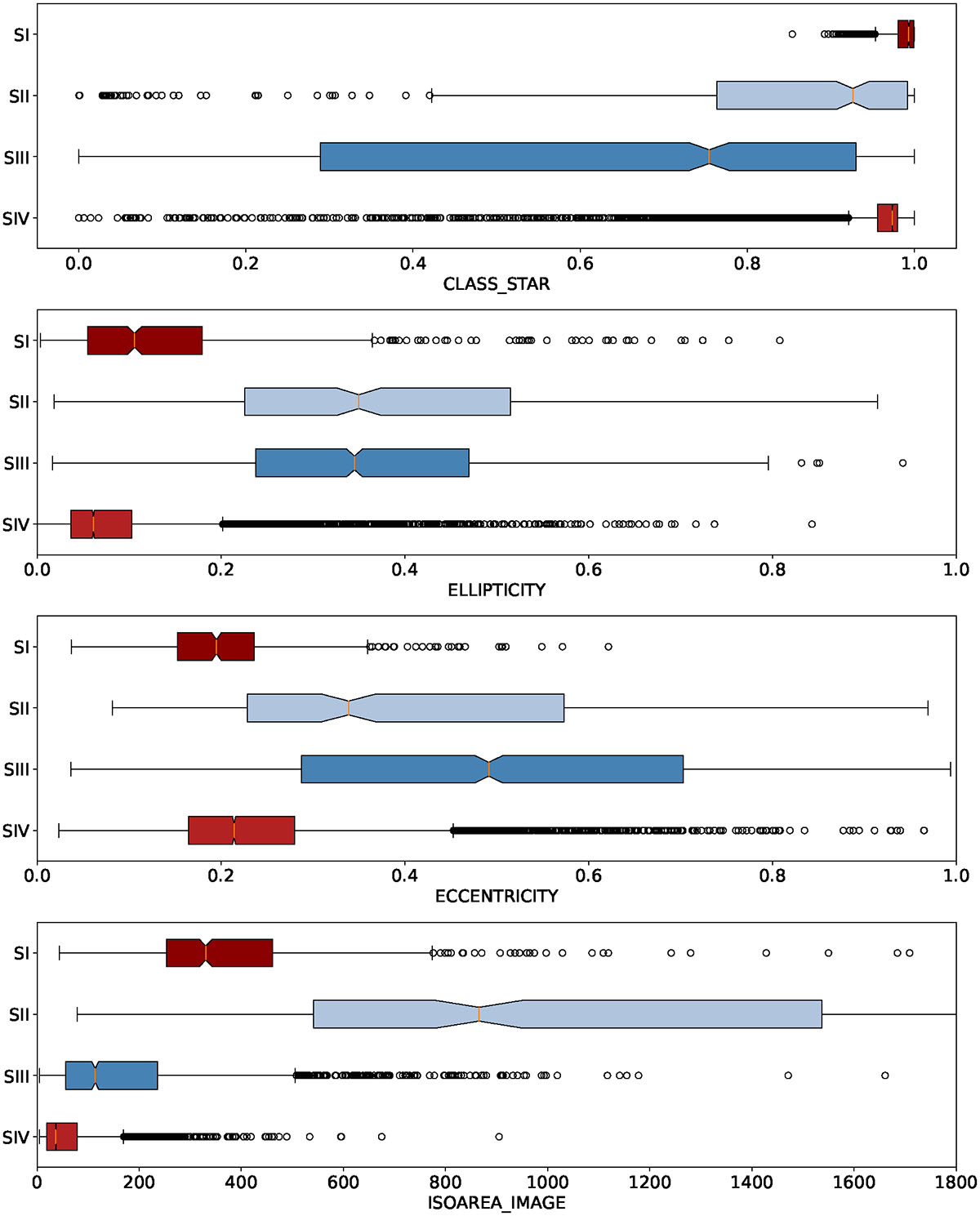
Fig. 5.

image

Download original image

Box plot summary of CLASS_STAR, ELLIPTICITY, ECCENTRICITY, and ISOAREA_IMAGE across the four sectors. Orange notches mark median values. Outliers are shown as open circles. Color codes correspond to sector classification as described in the text.

Current usage metrics show cumulative count of Article Views (full-text article views including HTML views, PDF and ePub downloads, according to the available data) and Abstracts Views on Vision4Press platform.

Data correspond to usage on the plateform after 2015. The current usage metrics is available 48-96 hours after online publication and is updated daily on week days.

Initial download of the metrics may take a while.