Open Access

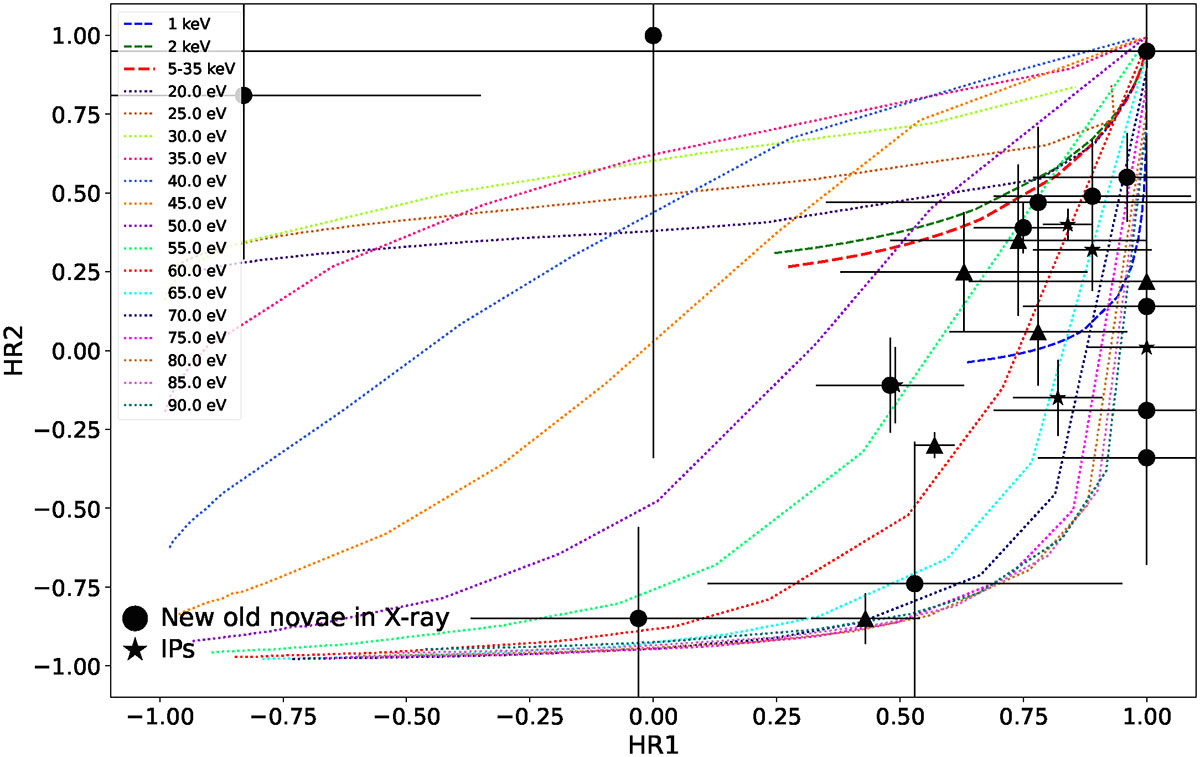
Fig. 14.

image

Download original image

Hardness ratio plot with our detected novae and simulated paths for spectral models with variable absorption hydrogen column (increasing between 1 × 1020 and 2 × 1022 cm−2 from left to right). Pure thermal plasma models (mekal) are shown in dashed lines, with kT increasing from 1 keV (blue, dashed line) to 35 keV. All models with kT above 5 keV collapse on the same path on the plot (red dashed line). Dotted lines show models with an extra soft, blackbody component with effective temperatures from 20 eV (purple) to 90 eV (green). The simulations with a soft component also include a thermal plasma with kT = 15 keV and a normalisation of a factor 10 fainter than the blackbody. Detected historical novae in the eRASS:4 are shown as big dots for new detections, stars for known IPs, and triangles for all other cases.

Current usage metrics show cumulative count of Article Views (full-text article views including HTML views, PDF and ePub downloads, according to the available data) and Abstracts Views on Vision4Press platform.

Data correspond to usage on the plateform after 2015. The current usage metrics is available 48-96 hours after online publication and is updated daily on week days.

Initial download of the metrics may take a while.