Open Access

Fig. B.1.

image

Download original image

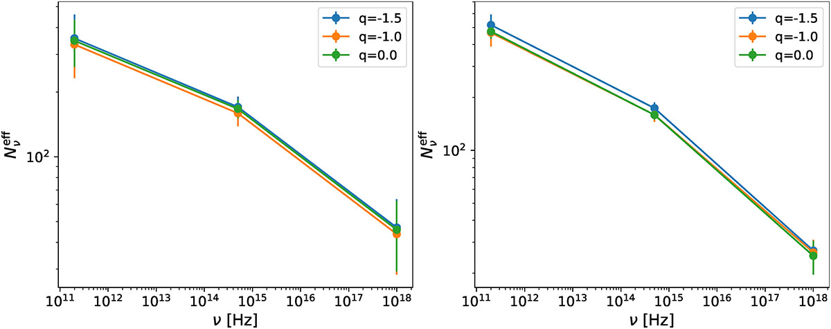
The trend of the effective flux-averaged, N ν eff $ N_{\nu}^{\mathrm{eff}} $, at the reference frequencies used for the millimiter (2 × 1011 Hz), optical (5 × 1014 Hz), and X-ray (1 × 1018 Hz) frequencies. Different color lines mark different values of q as detailed in the legend. The left panel refers to the full PL MC parameter space, the right panel to the best sample parameter space.

Current usage metrics show cumulative count of Article Views (full-text article views including HTML views, PDF and ePub downloads, according to the available data) and Abstracts Views on Vision4Press platform.

Data correspond to usage on the plateform after 2015. The current usage metrics is available 48-96 hours after online publication and is updated daily on week days.

Initial download of the metrics may take a while.