Open Access

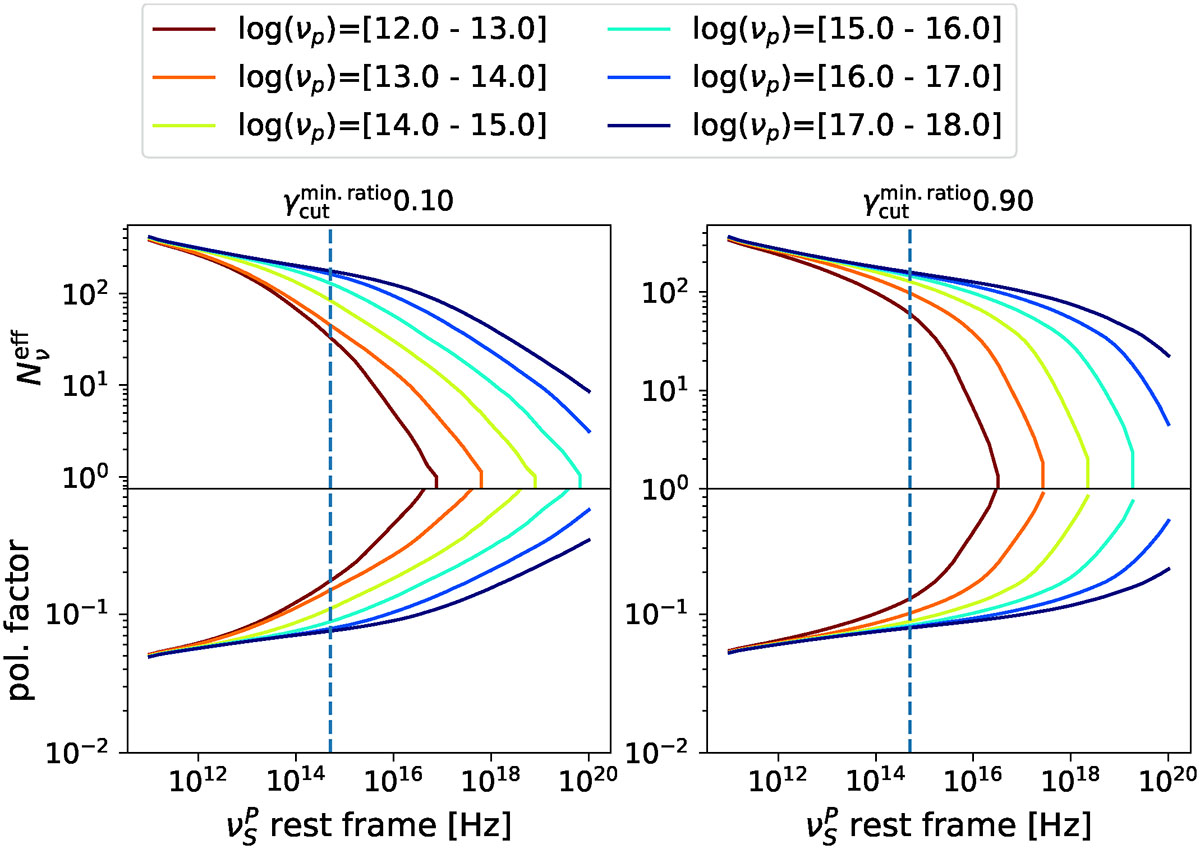
Fig. 7.

image

Download original image

Trial-averaged trends for Nνeff and for the polarization factor, κνeff, for the PL scenario with fpc = 𝒰[1.5, 2.5], q = −1.0, rmin = 0.1, and fγcut = log-uniform. The different values of γ cut min . ratio $ {\gamma_{\mathrm{cut}}^{\mathrm{min. ratio}}} $ are reported in the panel title, and the dashed vertical line marks the reference value for the optical frequency.

Current usage metrics show cumulative count of Article Views (full-text article views including HTML views, PDF and ePub downloads, according to the available data) and Abstracts Views on Vision4Press platform.

Data correspond to usage on the plateform after 2015. The current usage metrics is available 48-96 hours after online publication and is updated daily on week days.

Initial download of the metrics may take a while.