Open Access

Fig. 2

image

Download original image

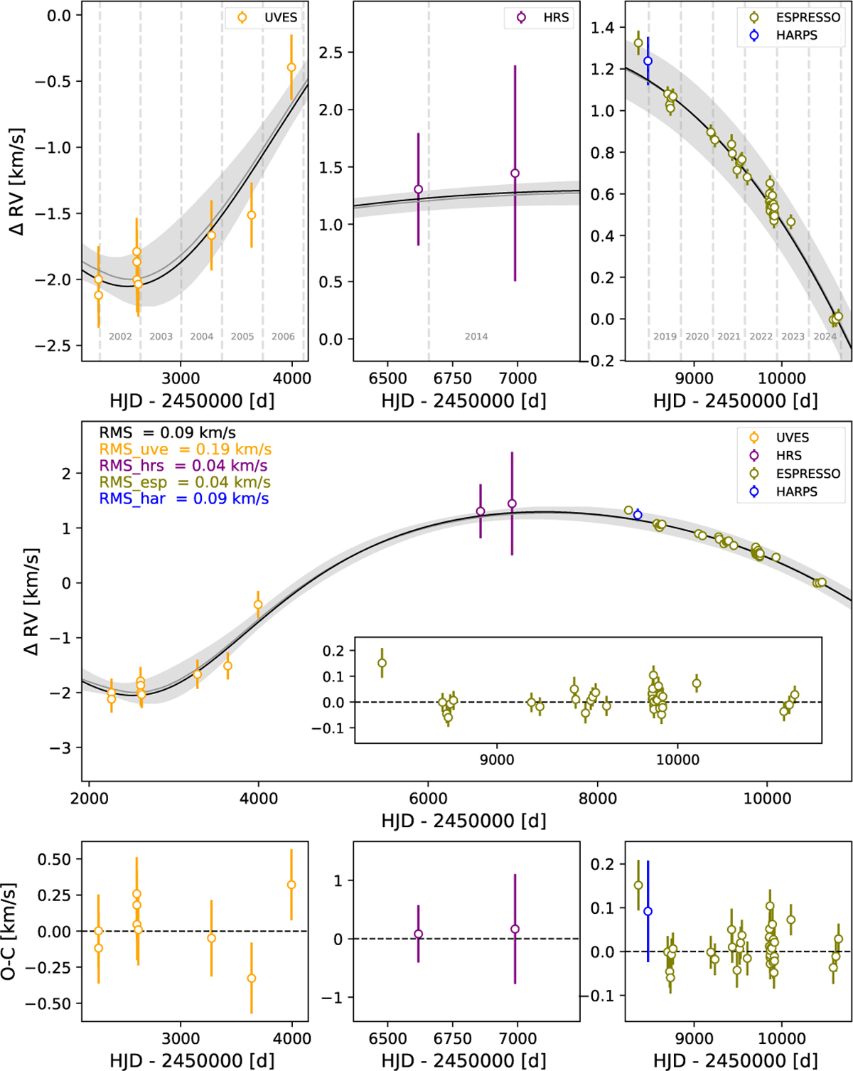
Radial velocities (RV) of HE 0107−5240 versus heliocentric Julian date (HJD), together with the best-fit RV model. The inset within the middle panel shows ESPRESSO RV points after subtracting the best-fit model. The root mean square (RMS) of all residuals is indicated in the middle panel, while the RMS values from each spectrograph are given in the bottom panels.

Current usage metrics show cumulative count of Article Views (full-text article views including HTML views, PDF and ePub downloads, according to the available data) and Abstracts Views on Vision4Press platform.

Data correspond to usage on the plateform after 2015. The current usage metrics is available 48-96 hours after online publication and is updated daily on week days.

Initial download of the metrics may take a while.