Open Access

Fig. 3

image

Download original image

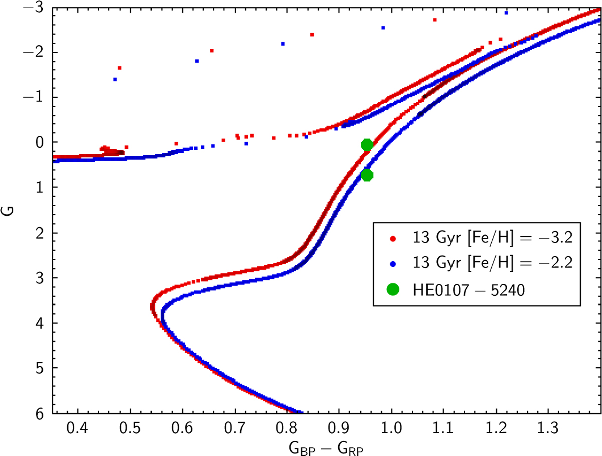
Isochrones from the BASTI database (Pietrinferni et al. 2021) in a Gaia colour-magnitude diagram. The two green points correspond to HE 0107−5240, assuming surface gravities of log g = 2.20 (upper point) and 2.46 (lower point), respectively.

Current usage metrics show cumulative count of Article Views (full-text article views including HTML views, PDF and ePub downloads, according to the available data) and Abstracts Views on Vision4Press platform.

Data correspond to usage on the plateform after 2015. The current usage metrics is available 48-96 hours after online publication and is updated daily on week days.

Initial download of the metrics may take a while.