Open Access

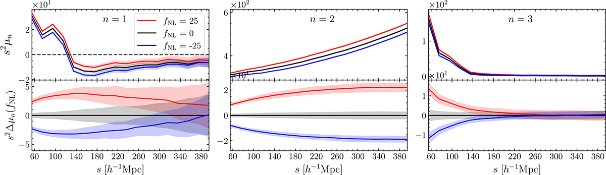
Fig. 3.

image

Download original image

Moments μ1, μ2, and μ3 (left to right) computed from average density fields of the 125 FastPM-L1 simulations, shown for fNL = −25 (blue), 0 (black), and 25 (red). Top panels show raw values; bottom panels show residuals relative to the fNL = 0 case. Shaded regions represent the standard error across simulations. All moments are scaled by s2 to highlight LSS.

Current usage metrics show cumulative count of Article Views (full-text article views including HTML views, PDF and ePub downloads, according to the available data) and Abstracts Views on Vision4Press platform.

Data correspond to usage on the plateform after 2015. The current usage metrics is available 48-96 hours after online publication and is updated daily on week days.

Initial download of the metrics may take a while.