Open Access

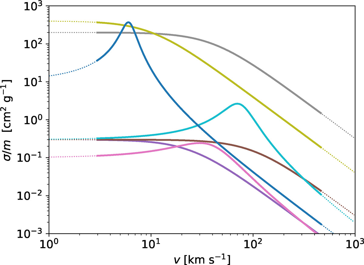
Fig. 5.

image

Download original image

Cross sections used to compute rc(M) in Fig. 4. The color code used here and in Fig. 4 is the same. The range of velocities highlighted with thicker lines corresponds to the range of effective velocities (Eq. (13)) when the halo masses go from 107 to 1014M, as used in Fig. 4.

Current usage metrics show cumulative count of Article Views (full-text article views including HTML views, PDF and ePub downloads, according to the available data) and Abstracts Views on Vision4Press platform.

Data correspond to usage on the plateform after 2015. The current usage metrics is available 48-96 hours after online publication and is updated daily on week days.

Initial download of the metrics may take a while.