Open Access

Fig. 4

image

Download original image

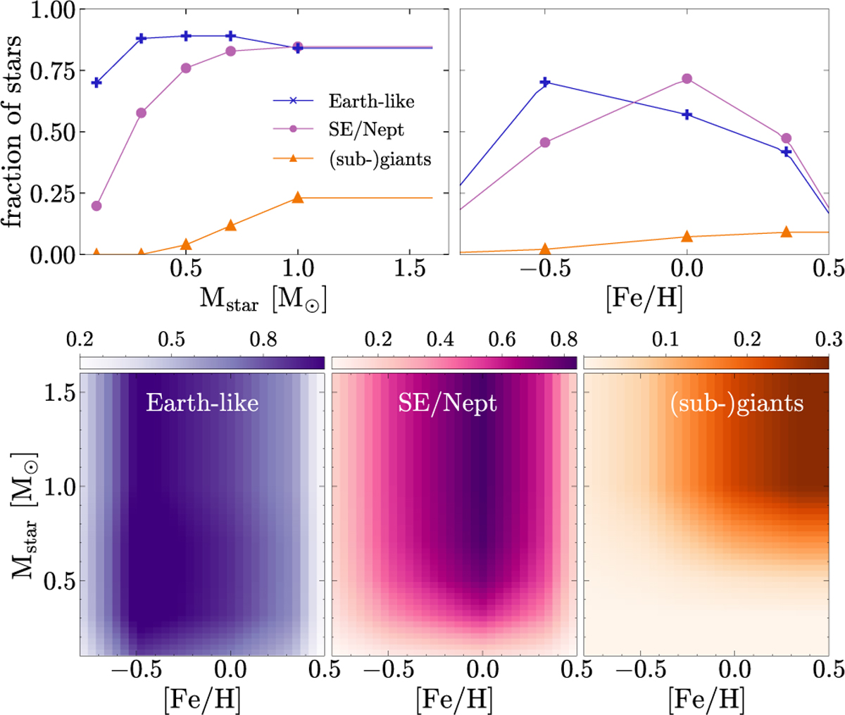
Fractions of single stars harbouring at least one planet of different planetary types. The top left panel shows the occurrence rate as a function of the stellar mass, adapted from Burn et al. (2021). The top right panel shows the occurrence rates as a function of the stellar metal-licity, adapted from Narang et al. (2018). The bottom row shows the joint occurrence rates obtained for each category of planet, combining the stellar mass and metallicity dependencies.

Current usage metrics show cumulative count of Article Views (full-text article views including HTML views, PDF and ePub downloads, according to the available data) and Abstracts Views on Vision4Press platform.

Data correspond to usage on the plateform after 2015. The current usage metrics is available 48-96 hours after online publication and is updated daily on week days.

Initial download of the metrics may take a while.