Open Access

Fig. 1.

image

Download original image

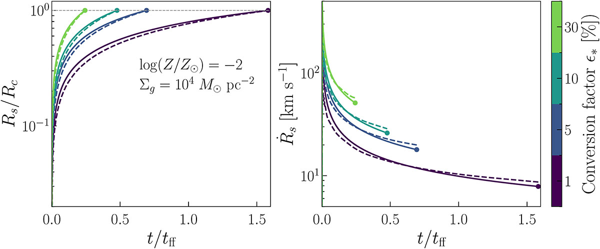
Left: Shell radius as a function of time normalised to the free-fall time for ϵ* = 1% (green), 5% (water green), 10% (blue), and 30% (purple). The cloud surface density and metallicity are Σ g = 10 4 M pc 2 $ \Sigma_g = 10^4\,M_{\odot}\,\mathrm{pc}^{-2} $ and log(Z/Z) =  − 2, respectively. Both the shell solution (Eq. (2), solid line) and the simulation predictions (dashed) are shown. Right: Same but for the shell velocity.

Current usage metrics show cumulative count of Article Views (full-text article views including HTML views, PDF and ePub downloads, according to the available data) and Abstracts Views on Vision4Press platform.

Data correspond to usage on the plateform after 2015. The current usage metrics is available 48-96 hours after online publication and is updated daily on week days.

Initial download of the metrics may take a while.