Open Access

Fig. A.1.

image

Download original image

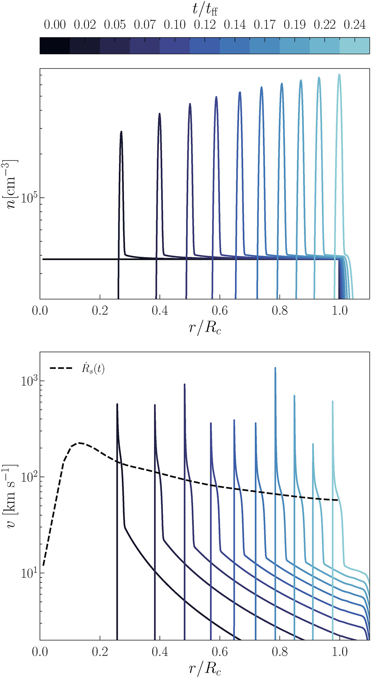
Upper: Number density profiles for different snapshots of the simulation. Time in free-fall time units is colour-coded. The surface density of the cloud is Σ g = 10 4 M pc 2 $ \Sigma_g = 10^4\,M_{\odot}\ \rm pc^{-2} $, with metallicity log(Z/Z) =  − 2 and SFE ϵ* = 30%. Lower: Same for the velocity profiles. The black dashed line shows the time evolution of the shell velocity, corresponding to the velocity of the cell with highest density.

Current usage metrics show cumulative count of Article Views (full-text article views including HTML views, PDF and ePub downloads, according to the available data) and Abstracts Views on Vision4Press platform.

Data correspond to usage on the plateform after 2015. The current usage metrics is available 48-96 hours after online publication and is updated daily on week days.

Initial download of the metrics may take a while.