Press Release
Open Access

Fig. 10.

image

Download original image

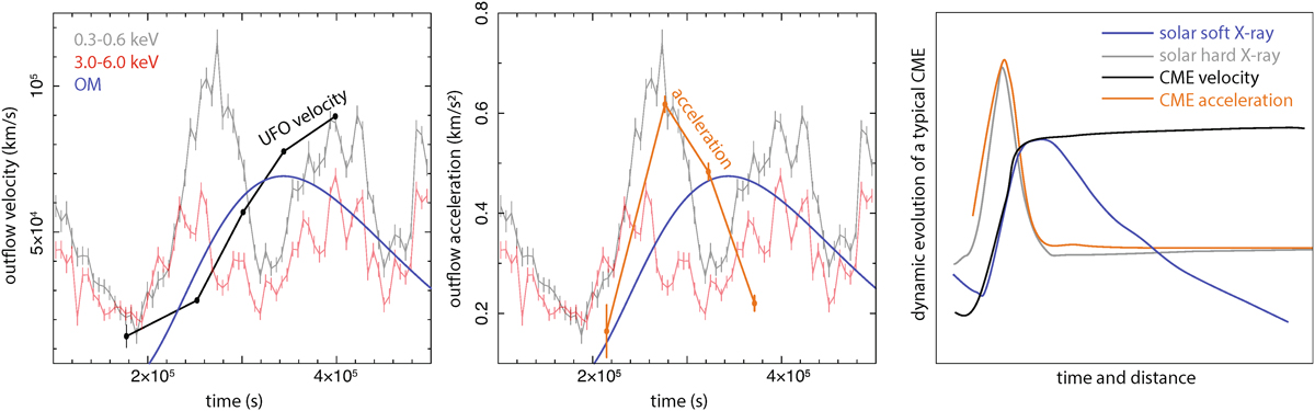
Comparison of UFO and CME dynamics. Left: evolution of the UFO velocity (in black). Middle: evolution of the UFO acceleration (in orange). Both panels are overlaid with the XMM-Newton OM (blue), soft-band (gray), and hard-band (red) X-ray light curves. Right: schematic view of the early dynamic evolution of a typical CME event close to the Sun, adapted from Temmer (2016). We see that the UFO and CME patterns are similar to each other, with the acceleration phase aligning with the hard-band flare and the velocity correlating with the soft-band flare.

Current usage metrics show cumulative count of Article Views (full-text article views including HTML views, PDF and ePub downloads, according to the available data) and Abstracts Views on Vision4Press platform.

Data correspond to usage on the plateform after 2015. The current usage metrics is available 48-96 hours after online publication and is updated daily on week days.

Initial download of the metrics may take a while.