Open Access

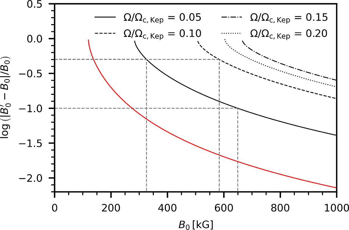
Fig. 8.

image

Download original image

Error of the measured magnetic field strength as a function of the actual magnetic strength. The black curves correspond to A1 asymmetries ( = 1), the red curve to A2 asymmetries. Field strength fractional errors corresponding to 50% and 10% are indicated with dashed grey lines.

Current usage metrics show cumulative count of Article Views (full-text article views including HTML views, PDF and ePub downloads, according to the available data) and Abstracts Views on Vision4Press platform.

Data correspond to usage on the plateform after 2015. The current usage metrics is available 48-96 hours after online publication and is updated daily on week days.

Initial download of the metrics may take a while.