Open Access

Fig. 1

image

Download original image

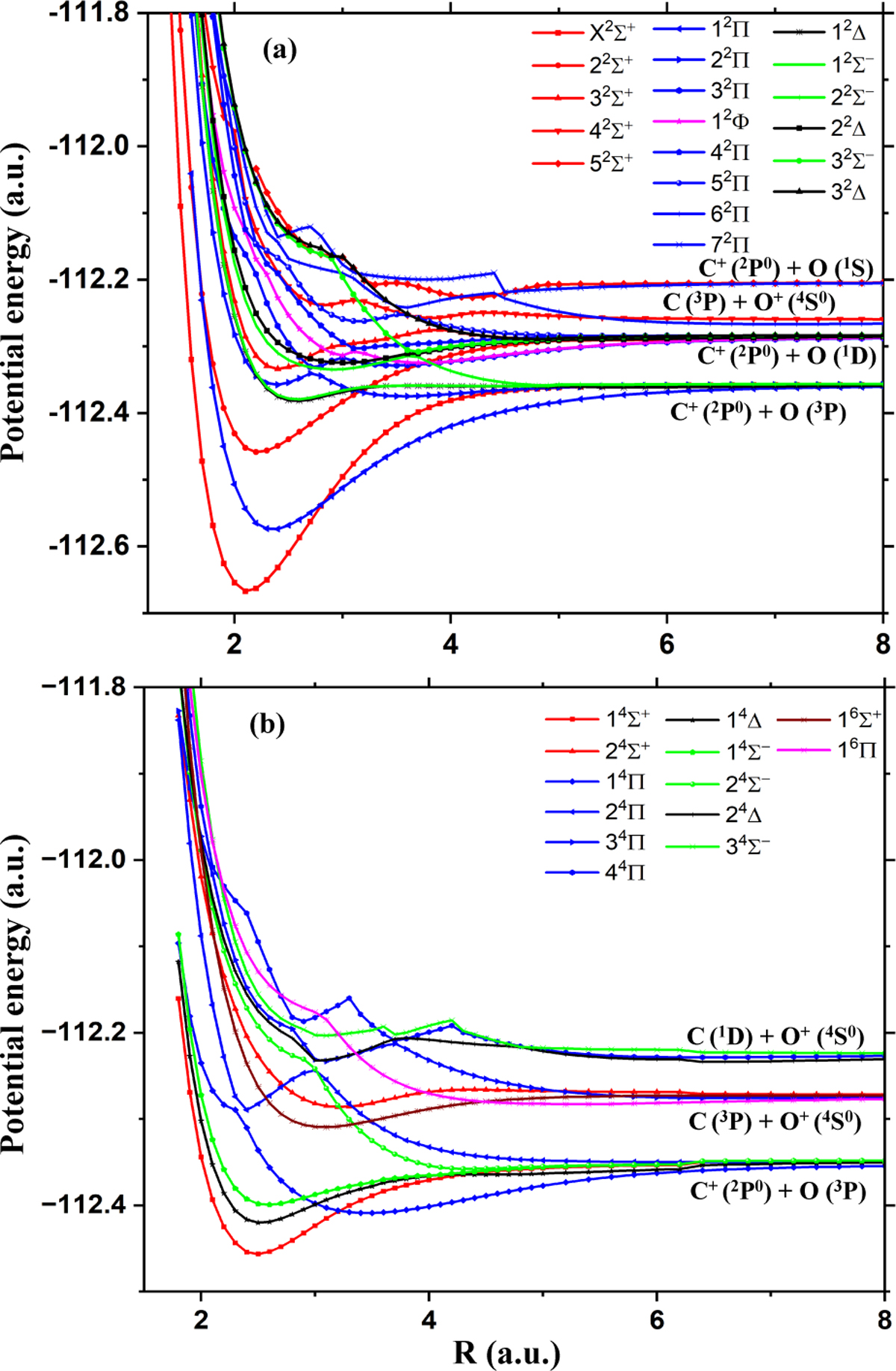
Adiabatic PECs of doublet (panel a; 1–5 2Σ+: red line, 1–7 2Π: blue line, 1 2Φ: violet line, 1–3 2Δ: black line, 1–3 2Σ: green line), quartet (panel b; 1–2 4Σ+: red line, 1–4 4Π: blue line, 1–2 4Δ: black line, 1–3 4Σ: green line), and sextet (1 6Σ+: brown line, 1 6Π: violet line) spin states of CO+ molecular ion as a function of internuclear distance R. All are given in atomic units (a.u.).

Current usage metrics show cumulative count of Article Views (full-text article views including HTML views, PDF and ePub downloads, according to the available data) and Abstracts Views on Vision4Press platform.

Data correspond to usage on the plateform after 2015. The current usage metrics is available 48-96 hours after online publication and is updated daily on week days.

Initial download of the metrics may take a while.