Open Access

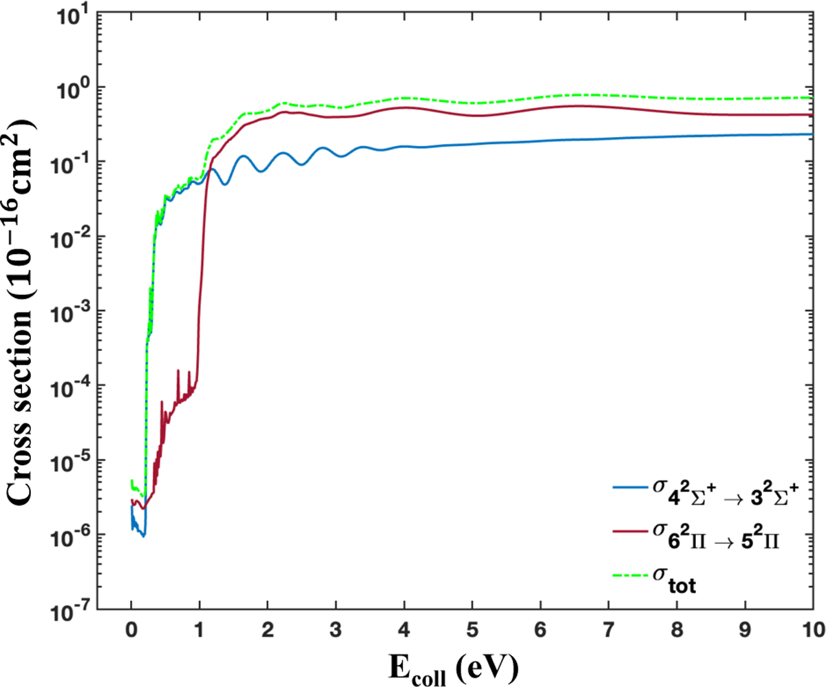
Fig. 3

image

Download original image

Total cross-section for process (1) (σtot) and cross-sections for the two most important partial processes, as a function of collision energy in the centre-of-mass frame (Ecoll). Statistical weights of the initial channels are included in the cross-sections.

Current usage metrics show cumulative count of Article Views (full-text article views including HTML views, PDF and ePub downloads, according to the available data) and Abstracts Views on Vision4Press platform.

Data correspond to usage on the plateform after 2015. The current usage metrics is available 48-96 hours after online publication and is updated daily on week days.

Initial download of the metrics may take a while.