Open Access

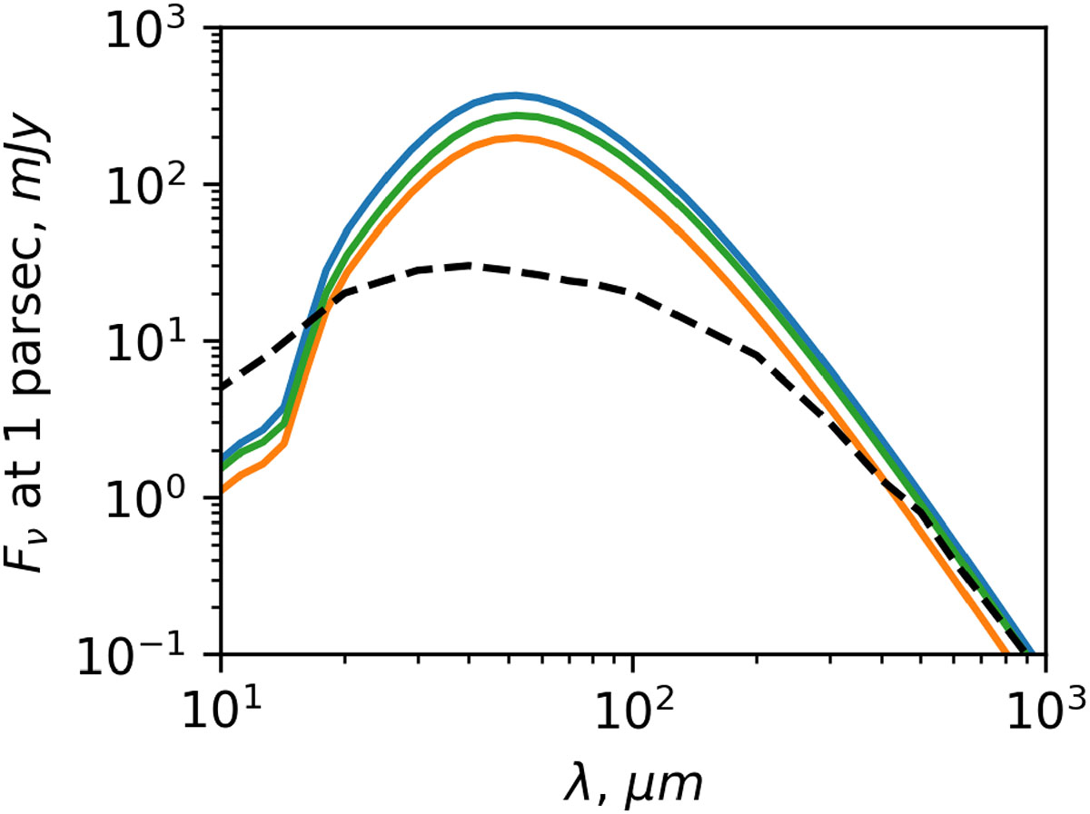
Fig. 4.

image

Download original image

Spectral emission distribution of interstellar dust particles inside the heliosphere for three different size distributions of particles. Classical MRN (green) (Mathis et al. 1977), a truncated power law (blue) (Mathis 1996), and the most recent (orange) (Hensley & Draine 2023). The dashed line indicates the interplanetary dust SED from Poppe et al. (2019).

Current usage metrics show cumulative count of Article Views (full-text article views including HTML views, PDF and ePub downloads, according to the available data) and Abstracts Views on Vision4Press platform.

Data correspond to usage on the plateform after 2015. The current usage metrics is available 48-96 hours after online publication and is updated daily on week days.

Initial download of the metrics may take a while.