Open Access

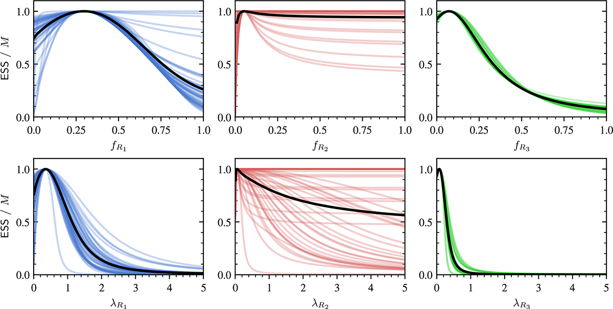
Fig. D.1.

image

Download original image

Ratio of effective sample size (ESS) in the importance sampling approximation to the total number of posterior samples vs the fraction of stars with planets fR (top) and the average number of planets per star λR (bottom), for each star and each box. The thick black curves show the mean ratio across all stars.

Current usage metrics show cumulative count of Article Views (full-text article views including HTML views, PDF and ePub downloads, according to the available data) and Abstracts Views on Vision4Press platform.

Data correspond to usage on the plateform after 2015. The current usage metrics is available 48-96 hours after online publication and is updated daily on week days.

Initial download of the metrics may take a while.