Open Access
Erratum
This article is an erratum for:
[https://doi.org/10.1051/0004-6361/202142560]


Fig. 5

image

Download original image

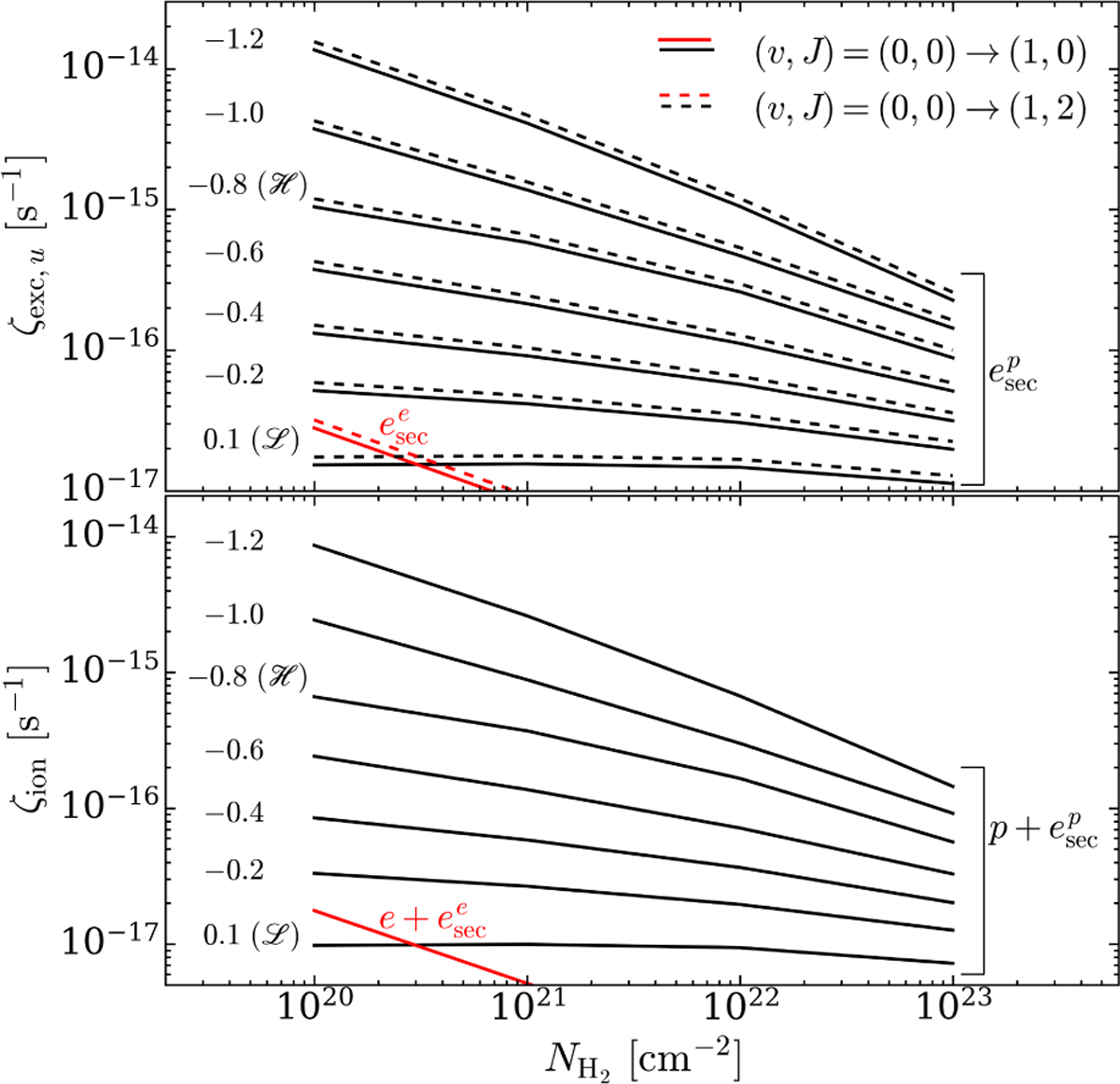
Cosmic-ray excitation and ionisation rates. Upper panel: CR excitation rate due to secondary electrons as a function of H2 column density for the H2 rovibrational transitions (v, J) = (0, 0) → (1, 0) and (v, J) = (0, 0) → (1, 2) (solid and dashed lines, respectively). The black and red lines show the rates due to secondaries produced by CR protons, esecp$\[e_{\mathrm{sec}}^{p}\]$, and primary CR electrons, esece$\[e_{\mathrm{sec}}^{e}\]$, respectively. Lower panel: CR ionisation rate from CR protons (solid black lines) and CR electrons (solid red line). All curves include the contribution to ionisation from the corresponding generation of secondary electrons. The labels on the left in both panels denote the low-energy spectral slope (parameter α in Eq. (2)). The cases α = 0.1 and α = −0.8 correspond to models ℒ and ℋ, respectively.

Current usage metrics show cumulative count of Article Views (full-text article views including HTML views, PDF and ePub downloads, according to the available data) and Abstracts Views on Vision4Press platform.

Data correspond to usage on the plateform after 2015. The current usage metrics is available 48-96 hours after online publication and is updated daily on week days.

Initial download of the metrics may take a while.