Open Access

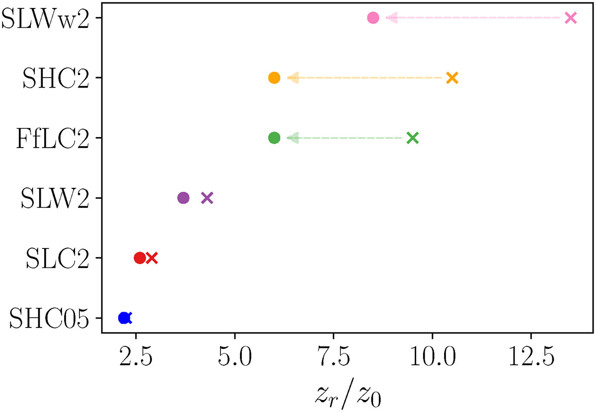
Fig. 17.

image

Download original image

Recollimation points in 2D (×) and 3D (dot) simulations, for various setups at the end of the respective simulations. In case SHC05 the points almost coincide. The cases are ordered so that the jet power increases with the y axis.

Current usage metrics show cumulative count of Article Views (full-text article views including HTML views, PDF and ePub downloads, according to the available data) and Abstracts Views on Vision4Press platform.

Data correspond to usage on the plateform after 2015. The current usage metrics is available 48-96 hours after online publication and is updated daily on week days.

Initial download of the metrics may take a while.