Open Access

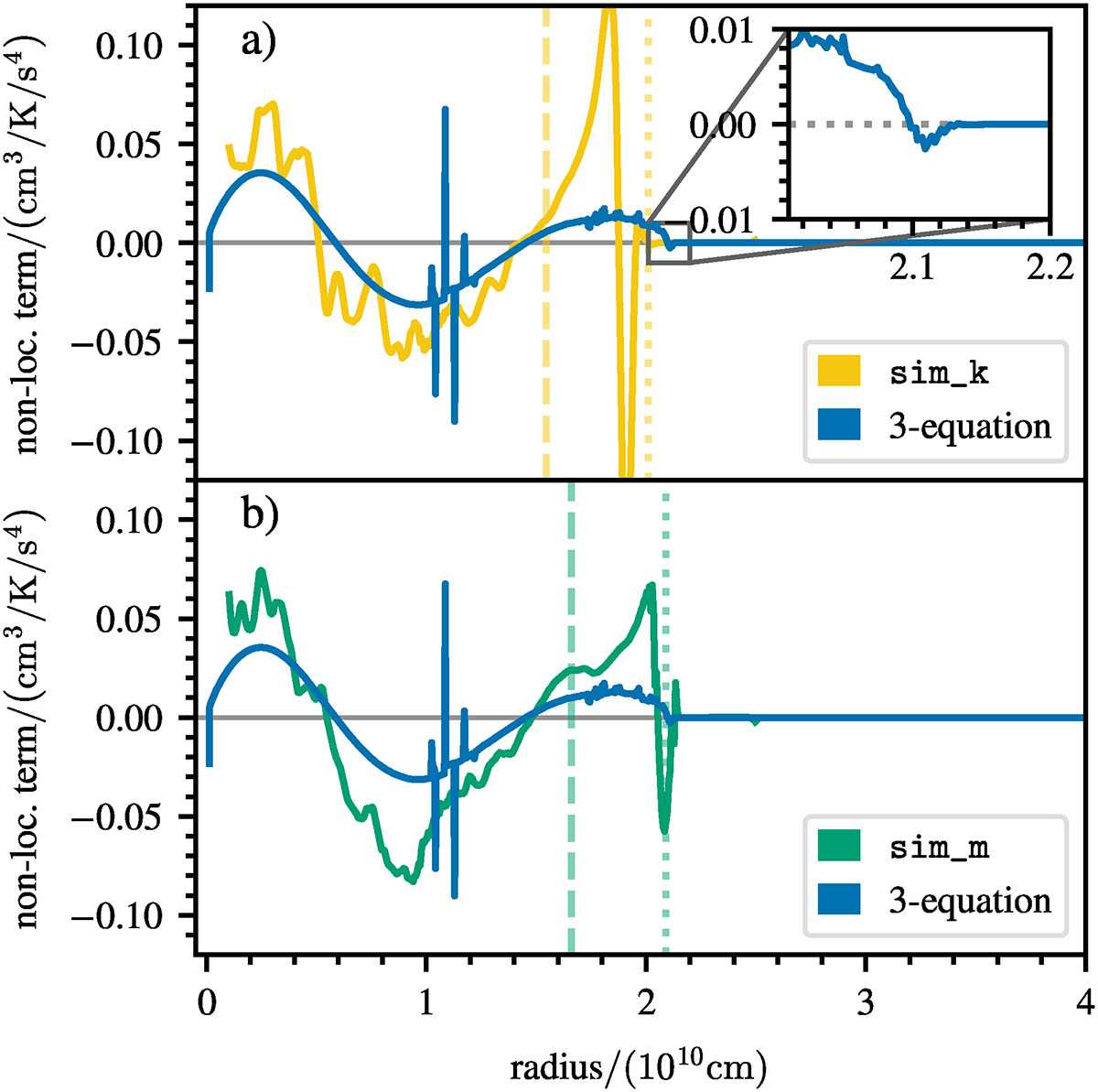
Fig. 13.

image

Download original image

Comparison of the non-local term of the convective flux equation Eq. (6) as a function of radius. The results for the sim_k and sim_m simulation are shown in the upper and lower panel, respectively. The results of the 3-equation model are shown with the blue line. We indicate the entropy and TKE boundaries with dashed and dotted lines in the respective colour.

Current usage metrics show cumulative count of Article Views (full-text article views including HTML views, PDF and ePub downloads, according to the available data) and Abstracts Views on Vision4Press platform.

Data correspond to usage on the plateform after 2015. The current usage metrics is available 48-96 hours after online publication and is updated daily on week days.

Initial download of the metrics may take a while.