Open Access

Fig. 1.

image

Download original image

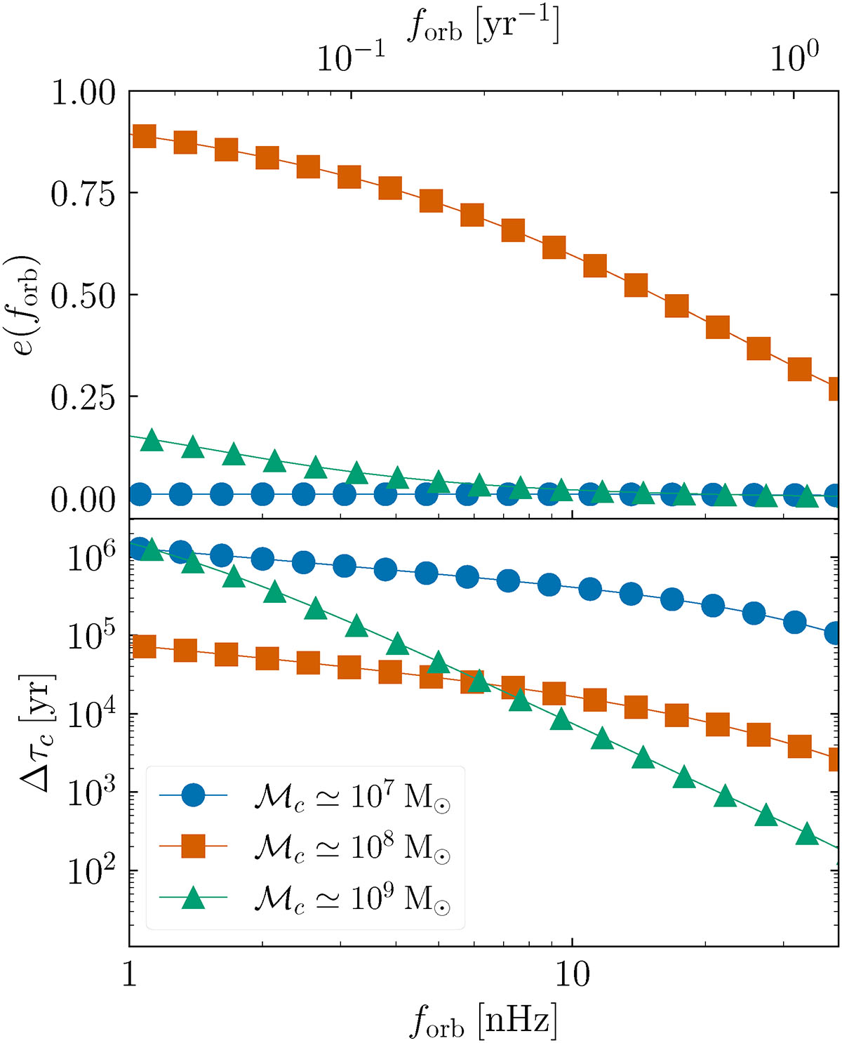
Examples of the residence time (bottom panel), Δτc, per log10 orbital frequency bin are shown for three binaries from the HORIZON-AGN catalog, with chirp masses of 107, 108, and 109M. We also show their respective eccentricity evolution in the top panel. Eccentric systems are more efficient in dissipating the energy through GWs and this can be seen in the residence time (low panel) as compared to (nearly) circular binaries. The evolution of binaries at high frequencies (starting from a few nHz) is determined by the gravitational radiation, which is more efficient in energy dissipation for heavy and eccentric binaries. We also observe a fast circularization of eccentric systems in the top panel.

Current usage metrics show cumulative count of Article Views (full-text article views including HTML views, PDF and ePub downloads, according to the available data) and Abstracts Views on Vision4Press platform.

Data correspond to usage on the plateform after 2015. The current usage metrics is available 48-96 hours after online publication and is updated daily on week days.

Initial download of the metrics may take a while.