Open Access

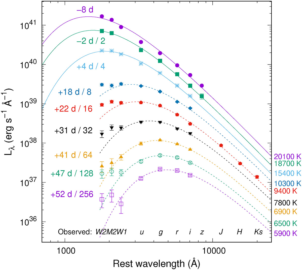
Fig. 12.

image

Download original image

Blackbody fits (lines) to the observed SEDs of SN 2023gpw (points). An excess over the blackbody function appears and gradually strengthens after the peak. The W2 and M2 bands have been ignored in the fits denoted with dashed lines; the W1-band is roughly compatible with the optical data throughout the evolution.

Current usage metrics show cumulative count of Article Views (full-text article views including HTML views, PDF and ePub downloads, according to the available data) and Abstracts Views on Vision4Press platform.

Data correspond to usage on the plateform after 2015. The current usage metrics is available 48-96 hours after online publication and is updated daily on week days.

Initial download of the metrics may take a while.