Open Access

Fig. 4.

image

Download original image

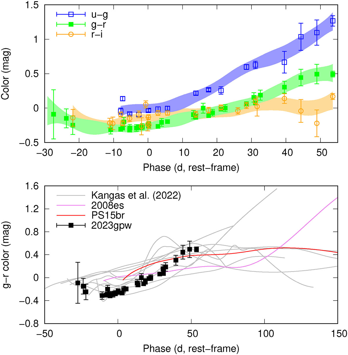
Top panel: Optical colors of SN 2023gpw interpolated using a GP fit (shaded regions denote the 1σ uncertainty of this fit). The g − r color seems to become bluer during the rise to the peak, but the uncertainties of the measured colors are also consistent with no evolution in g − r until around the peak. Bottom panel: Comparison of the g − r color of SN 2023gpw with other SLSNe II (Miller et al. 2009; Inserra et al. 2018; Kangas et al. 2022), all corrected for Galactic extinction. The colors of comparison SNe have been GP-interpolated for visual clarity.

Current usage metrics show cumulative count of Article Views (full-text article views including HTML views, PDF and ePub downloads, according to the available data) and Abstracts Views on Vision4Press platform.

Data correspond to usage on the plateform after 2015. The current usage metrics is available 48-96 hours after online publication and is updated daily on week days.

Initial download of the metrics may take a while.