Open Access

Fig. 8.

image

Download original image

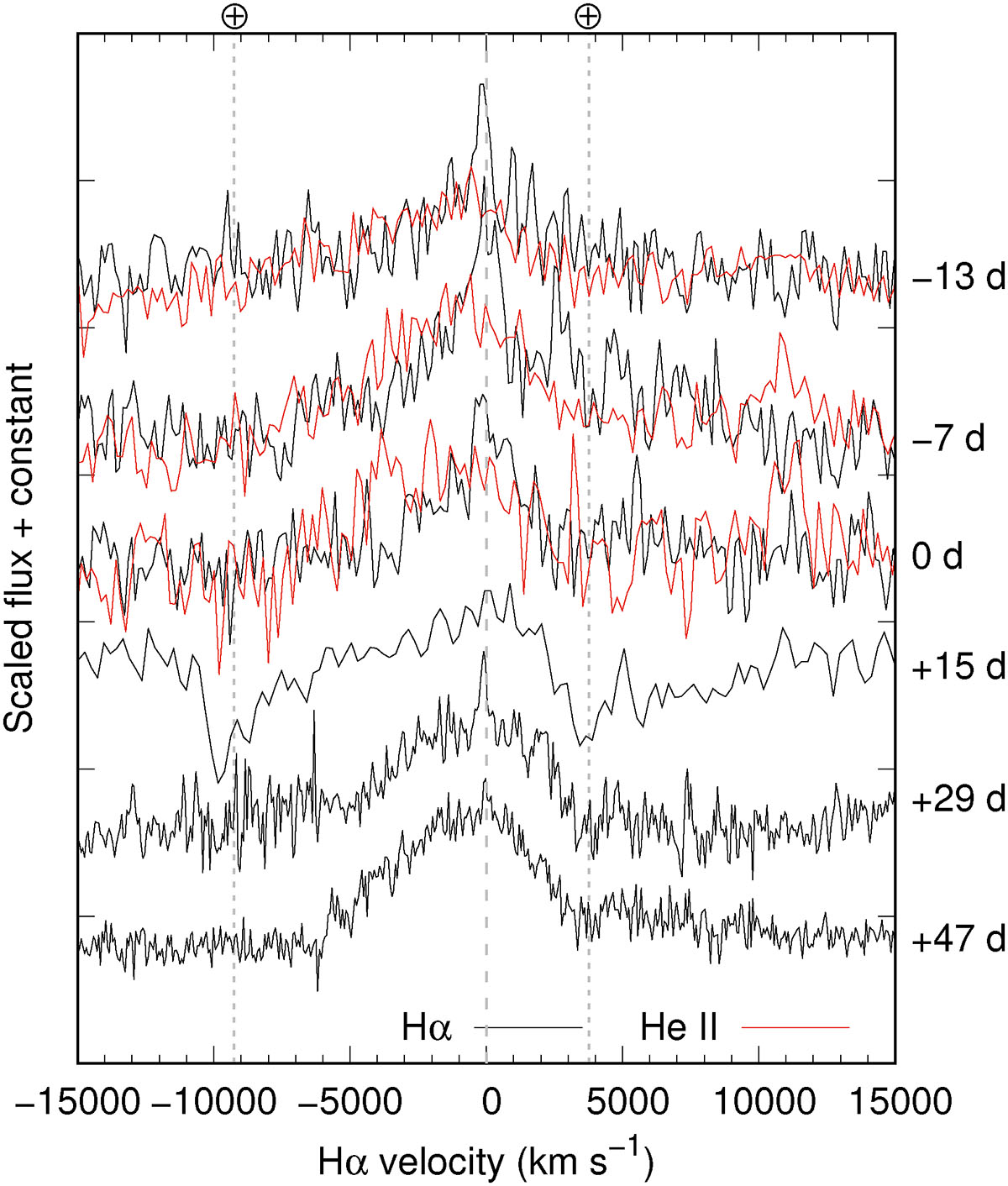
Evolution of the Hα (black) and He IIλ4686 (red) line profiles in SN 2023gpw with the continuum subtracted on both sides. Telluric lines around Hα (⨁) are marked with dotted lines and the zero velocity with a dashed line. A weakening narrow component can be seen in the profile, while the wings of the broad component are disturbed by the telluric lines, but extend to several thousand km s−1 on both sides.

Current usage metrics show cumulative count of Article Views (full-text article views including HTML views, PDF and ePub downloads, according to the available data) and Abstracts Views on Vision4Press platform.

Data correspond to usage on the plateform after 2015. The current usage metrics is available 48-96 hours after online publication and is updated daily on week days.

Initial download of the metrics may take a while.