Open Access

Fig. 9.

image

Download original image

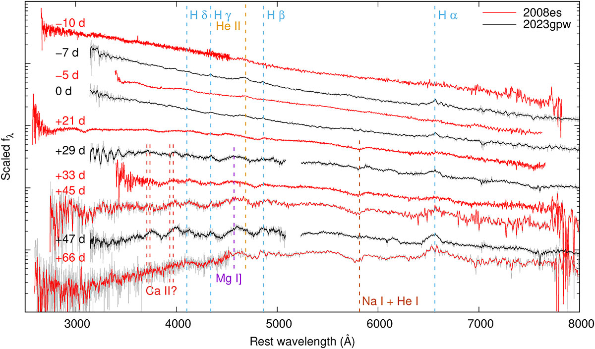
Spectral evolution of SN 2023gpw (black) compared to the prototypical SN 2008es (red). Savitzky-Golay smoothing has been applied; the original spectra are plotted in gray. The zero epoch corresponds to the g-band peak.

Current usage metrics show cumulative count of Article Views (full-text article views including HTML views, PDF and ePub downloads, according to the available data) and Abstracts Views on Vision4Press platform.

Data correspond to usage on the plateform after 2015. The current usage metrics is available 48-96 hours after online publication and is updated daily on week days.

Initial download of the metrics may take a while.