Open Access

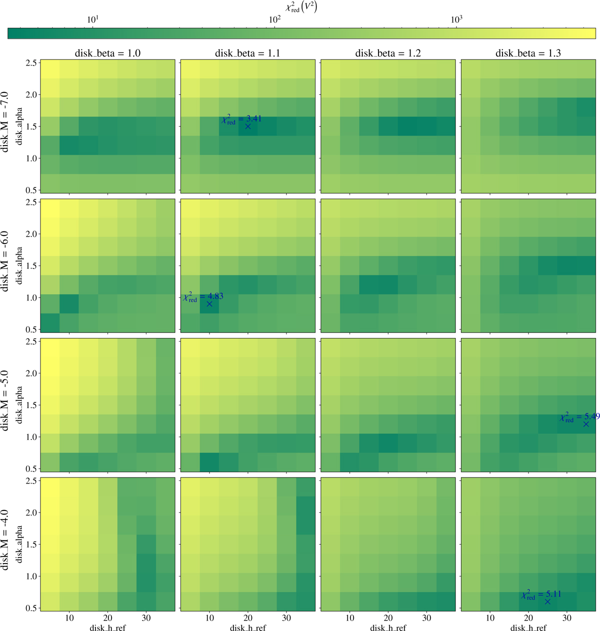
Fig. A.5

image

Download original image

χred2$\[\chi_{\text {red}}^{2}\]$(V2) map for amax = 250 nm visualizing the structure of the four dimensional parameter space of log10 (Mdisk) (“disk_M”), β (“disk_beta”), α (“disk_alpha”) and href (“disk_h_ref”) in au. The location of the best fit per total disk mass is marked by a blue cross and the value of χred2$\[\chi_{\text {red}}^{2}\]$ is given.

Current usage metrics show cumulative count of Article Views (full-text article views including HTML views, PDF and ePub downloads, according to the available data) and Abstracts Views on Vision4Press platform.

Data correspond to usage on the plateform after 2015. The current usage metrics is available 48-96 hours after online publication and is updated daily on week days.

Initial download of the metrics may take a while.