Open Access

Fig. 6

image

Download original image

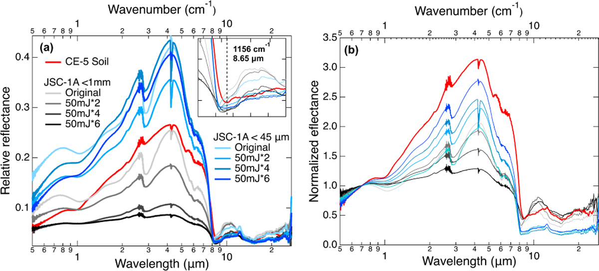
VNIR and MIR relative reflectance spectra of the CE5 sample and comparison with those of laser-irradiated JSC-1A lunar regolith simulant (LRS). (a) Relative reflectance spectra; (b) Reflectance spectra normalized to 1 at 0.7 μm. The inset in (a) highlights the position of the Christiansen feature.

Current usage metrics show cumulative count of Article Views (full-text article views including HTML views, PDF and ePub downloads, according to the available data) and Abstracts Views on Vision4Press platform.

Data correspond to usage on the plateform after 2015. The current usage metrics is available 48-96 hours after online publication and is updated daily on week days.

Initial download of the metrics may take a while.